首页 > 其他 > 详细

数学建模学习笔记 | 线性代数模型

时间:2020-05-27 14:29:37      阅读:71      评论:0      收藏:0      [点我收藏+]
  • 1、矩阵(二维数组)

技术分享图片

2、其他矩阵(列矩阵、行矩阵,方阵)

  • 列矩阵(列向量)
  • 行矩阵(行向量)
  • 方阵(行与列一样)

3、单位矩阵

技术分享图片

 

 

 

矩阵的线性运算

  • 加法(两个规模一样的矩阵,元素相加)
  • 数乘:  
    • 技术分享图片
  • 乘法:
    • 定义:技术分享图片
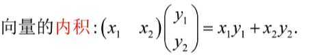
    • 内积:技术分享图片

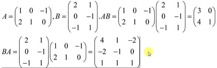
    • 例:技术分享图片
    • 运算过程(参考向量的内积的运算):AB??1*2+0*0+-(1)*(-1)=3;2*2+1*0+0*(-1)=4;1*1+0*(-1)+(-1)*1=0;2*1+1*(-1)+0*1=1
    • 矩阵乘法定义时要求左边矩阵的列数右边矩阵的行数相等

    • 矩阵的乘法运算,不满足交换律

    • 矩阵的乘法运算与线性运算,满足分配律 ,即:技术分享图片

 

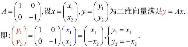
    • 线性变换:
      • 含义:若A是一个线性变换,则A可以把任意向量关于横轴对称
      • 推算过程:技术分享图片

 

数学建模学习笔记 | 线性代数模型

原文:https://www.cnblogs.com/billie52707/p/12972285.html

(0)
(0)
   
举报
评论 一句话评论(0
关于我们 - 联系我们 - 留言反馈 - 联系我们:wmxa8@hotmail.com
© 2014 bubuko.com 版权所有
打开技术之扣,分享程序人生!