首页 > 其他 > 详细

Hessian Matrix

时间:2020-06-01 13:20:43      阅读:35      评论:0      收藏:0      [点我收藏+]

1 二元函数极值

    对于单变量函数,使用一阶导数判断在某点上是否存在极值,使用二阶导数判断该点是极大值或者极小值。

    对于二元函数,首先讨论二元二次函数极值情况,然后将结论推广到一般二元函数情形。

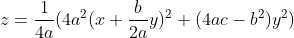
    对二元二次函数 技术分享图片,求偏导得并令其为 0 有

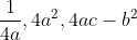
    技术分享图片,解方程组得 技术分享图片,则函数 z 的临界点位于原点,进一步对函数 z 配方得

    技术分享图片,则系数 技术分享图片联合确定了原点为局部极大值或者局部极小值,具体如下:

    1)当 技术分享图片 时,两平方项符号不一致,原点为鞍点(saddle point);

    2)当 技术分享图片 时,两平方项均为非负值,z 最终值取决于 a。

          当 a > 0 时,原点为极小值点;当 a < 0 时,原点为极大值点;当 a = 0 时,无法判断;

    对于一般二元函数 技术分享图片 ,如果存在连续二阶偏导,在点 技术分享图片 处,其一阶偏导满足关系  技术分享图片,使用泰勒公式的二阶近似如下:

    技术分享图片,由于一阶偏导为零,进一步简化为:

    技术分享图片,则函数 f(x,y) 在临界点 技术分享图片 的极值特性取决于关系式

     技术分享图片,该关系式与 技术分享图片 基本一致,则有如下结论:

     令 技术分享图片

      1)当 技术分享图片 时,两平方项符号不一致,临界点 技术分享图片 为鞍点(saddle point);

      2)当 技术分享图片 时,两平方项均为非负值,z 最终值取决于 技术分享图片

            当 技术分享图片 时,临界点  技术分享图片 为极小值点;当 技术分享图片 时,临界点  技术分享图片 为极大值点;当 技术分享图片 时,无法判断;

    

2 Hessian Matrix

    定义函数 技术分享图片 的 Hessian Matrix 为 技术分享图片,由于 技术分享图片,Hessian Matrix 可改写为 技术分享图片

 

    关系式 技术分享图片 使用 Hessian Matrix 重写为 技术分享图片

    使用 行列式 技术分享图片 可得出类似结论:

    1)如果 技术分享图片  且 技术分享图片,则 技术分享图片 为局部极小值,f 向上凹;

          如果 技术分享图片技术分享图片,则 技术分享图片 为局部极大值,f 向下凹;

          如果 技术分享图片技术分享图片,无法判断;

    2)如果 技术分享图片,则 技术分享图片 为鞍点(saddle point);

    对 Hessian Matrix 进行特征值与特征向量分解,其特征值 技术分享图片 决定了二元二次函数性质,结论如下:

    1)当 技术分享图片 时,临界点 技术分享图片 为局部极大值;

    2)当 技术分享图片 时,临界点 技术分享图片 为局部极小值;

    3)当 技术分享图片技术分享图片 时, 临界点 技术分享图片  为 鞍点;

    4)当 技术分享图片 或 技术分享图片 时,无法确定。

 

    参考:多变量微积分   Prof. Denis Auroux

 

Hessian Matrix

原文:https://www.cnblogs.com/luofeiju/p/13023395.html

(0)
(0)
   
举报
评论 一句话评论(0
关于我们 - 联系我们 - 留言反馈 - 联系我们:wmxa8@hotmail.com
© 2014 bubuko.com 版权所有
打开技术之扣,分享程序人生!