题目(题目链接:https://www.cnblogs.com/Forever-Kenlen-Ja/p/3735043.html):计算给定分段函数在不同输入时的取值。
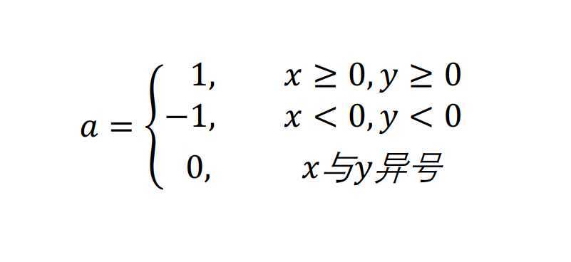
要求:编制程序,计算下面函数值:

其中,从键盘输入x与y,输出数据为a。
输入输出时候都要求有提示信息。
考查知识点:分支结构的应用。
环境:
操作系统:Windows 10 Pro N for Workstation
模拟器:DosBox 0.74
编译器:masm 5.0
链接器:link 3.6
实现:
8086汇编语言
结果如下所示:





源码改日发布。
原文:https://www.cnblogs.com/25th-engineer/p/13089486.html