上海交通大学公开课:数学之旅 http://open.163.com/newview/movie/courseintro?newurl=M8PTB0GHI
总结:
距离 -> 范数 -> 内积
(线性空间 + 范数 = 赋范空间 + 线性结构) + 内积 = 内积空间 + 完备性 = 希尔伯特空间
线性空间:又称为向量空间,关注的是向量的位置。知道基便可确定空间中元素的位置。线性空间定义了加法和数乘运算。
如果我们想要知道向量的长度怎么办。定义范数,引入赋范线性空间。
赋范线性空间:定义了范数的线性空间。即定义了长度的空间
如果我们想知道向量的夹角怎么办。定义内积,引入内积空间。
内积空间:定义了内积的赋范线性空间。引入了正交和投影的概念。建立起相应的几何学。
欧式空间:定义了内积的有限维实线性空间。
如果我们想研究收敛性(极限)怎么办?定义完备。
Banach空间:完备的赋范线性空间。
Hilbert空间:完备的内积空间。极限运算不能跑出度量的范围。

距离必须满足三点
设X为任意非空集合,对X中任意两点x,y,有一实数d(x, y)与之对应且满足:
在线性空间中,定义范数的概念,代表某点到空间零点的距离。
下面在已经构成的线性赋范空间上继续扩展,添加内积运算,使空间中有角的概念,形成如下:
线性赋范空间+内积运算? 内积空间;
这时的内积空间已经有了距离、长度、角度等,有限维的内积空间也就是我们熟悉的欧氏空间。
继续在内积空间上扩展,使得内积空间满足完备性,形成希尔伯特空间如下:
内积空间+完备性? 希尔伯特空间
对距离进行弱化,只保留距离的极限和连续的概念,就形成拓扑的概念。
如何理解希尔伯特空间的完备性?
完备性指的是,空间中的任何柯西序列都收敛在该空间之内。
柯西序列定义:设xn是距离空间X中的点列,如果对于任意的e > 0, 存在自然数N , 当m,n>N时,|xn - xm| < e,则xn是柯西序列。这里把两个数之差定义为距离,也可以定义其它方式,柯西序列依赖于距离,因此只有在定义了距离的度量空间内才有意义。
举一个完备的例子 实数空间。
不完备的例子:有理数空间。比如根号2,是一个柯西序列,定义在有理数上,但是极限是无理数,不在有理数空间内。
(0, 1)不完备,比如(1/2, 1/3,1/4,1/5...)是柯西序列,但是不收敛于(0, 1)的任何点。
直观上讲:一个空间完备就是没有空,且不缺皮,两者都是不缺点。没有孔指内部不缺点,不缺皮指边界上不缺点,不缺皮指边界上不缺点。从这一点上讲,一个空间完备同一个集合的闭包类似。这一类似还体现在以下定理中,完备空间的闭子集是完备的。
如何理解再生希尔伯特空间
由核函数K和无穷个输入样本x, y 构成的核矩阵K(x, y)的基向量(无穷维,无数个)构成一个希尔伯特空间。
这个希尔伯特空间这样的特点。


这个是将x映射到第i维的值。映射是无穷个基函数,带入x,这样就将有限维x,映射到一个无限维度的向量。比如傅里叶级数。
K(x, ·)表示核矩阵的第x行,即将x映射到希尔伯特空间所对应的无穷维的向量。至于怎么映射的,这个映射函数很难得到。比如傅里叶级数,就是投影到
每个三角函数上。
要计算第x行和第y行的内积,虽然我们很难得到映射,不好计算,但是我们可以根据再生性,直接通过核函数计算得到。

如何理解核函数
核函数判定方法有两个。

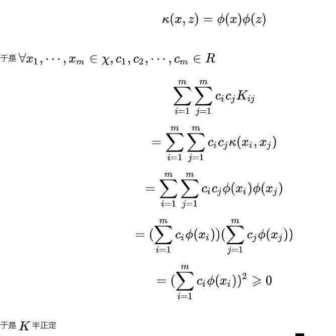
函数对应的Gram矩阵半正定,并对称,则是核函数。这是充分条件。

下面展示了由内积形式推出K是半正定的过程。


常用的核。

如何说明高斯核就是半正定的



上面泰勒展开式,最后一行第二个求和符号多余。还以第二个式子,x改成y。这样从0都+无穷的求和,相当于两个无穷维向量的内积。
[1] https://www.zhihu.com/question/19967778
[2] cnblogs.com/jfdwd/p/11204204.html
[3] https://new.qq.com/omn/20190722/20190722A069D400.html
[4] https://blog.csdn.net/wangxiaojun911/article/details/6205569/
[5] https://blog.csdn.net/lanchunhui/article/details/53032690
[6] https://zhuanlan.zhihu.com/p/114264831
[7] https://zhuanlan.zhihu.com/p/73426787
[8] https://www.zhihu.com/question/331515114/answer/727769169
[9] https://zhuanlan.zhihu.com/p/108625593?utm_source=wechat_session
原文:https://www.cnblogs.com/zuotongbin/p/13141397.html