NumPy中包含了numpy.linalg模块,提供线性代数运算功能。下表描述了该模块中的一些重要功能。
| SN | 函数 | 描述 |
|---|---|---|
| 1 | dot() | 两个数组的点积 |
| 2 | vdot() | 两个向量的点积 |
| 3 | inner() | 两个数组的内积 |
| 4 | matmul() | 两个数组的矩阵乘积 |
| 5 | det() | 计算矩阵的行列式 |
| 6 | solve() | 解线性矩阵方程 |
| 7 | inv() | 求矩阵的乘法逆矩阵 |
numpy.dot()计算两个数组的点积。
示例
import numpy as np a = np.array([[100,200],[23,12]]) b = np.array([[10,20],[12,21]]) dot = np.dot(a,b) #[100 * 10 + 200 * 12, 100 * 20 + 200 * 21] [23*10+12*12, 23*20 + 12*21] print(dot)
输出
[[3400 6200]
[ 374 712]]
numpy.dot()计算两个向量的点积。
示例
import numpy as np a = np.array([[100,200],[23,12]]) b = np.array([[10,20],[12,21]]) vdot = np.vdot(a,b) # 100 *10 + 200 * 20 + 23 * 12 + 12 * 21 print(vdot)
输出
5528
numpy.inner()计算两个数组的内积。这个函数返回一维数组内部元素乘积的和。对于n维数组,它返回元素在最后一个轴上的乘积的和。
示例
import numpy as np a = np.array([1,2,3,4,5,6]) b = np.array([23,23,12,2,1,2]) inner = np.inner(a,b) # 1*23 + 2*23 + 3*12 + 4*2 + 5*1 + 6*2 print(inner)
输出
130
numpy.matmul()计算两个数组的矩阵乘积。
示例
import numpy as np a = np.array([[1,2,3],[4,5,6],[7,8,9]]) b = np.array([[23,23,12],[2,1,2],[7,8,9]]) mul = np.matmul(a,b) print(mul)
输出
[[ 48 49 43] [144 145 112] [240 241 181]]
numpy.linalg.det()计算矩阵的行列式。
矩阵的行列式可以用对角元素来计算。下面是2×2矩阵的行列式
A B
C D
det()计算公式:AD – BC
示例
import numpy as np a = np.array([[1,2],[3,4]]) print(np.linalg.det(a))
输出
-2.0000000000000004
numpy.linalg.solve()解线性矩阵方程。
这个函数用于解线性方程,学过线性代数可知,线性方程可以表示为矩阵。
如下面的方程:
x + y = 20 x - y = 10 可以表示为3个矩阵的方程: 矩阵a: 1 1 1 -1 矩阵b: x y 矩阵c: 20 10 方程式可以表示为: a x b = c
示例
import numpy as np a = np.array([[1,1],[1,-1]]) c = np.array([[20], [10]]) b = np.linalg.solve(a, c) print(b)
输出
[[15.]
[ 5.]]
scipy非线性方程组求解
求解线性方程组比较简单,只需要用到一个函数(scipy.linalg.solve)就可以了。比如我们要求以下方程的解,这是一个非齐次线性方程组:

程序代码:
import numpy as np from scipy.linalg import solve #输出系数矩阵 a=np.array([[3,1,-2],[1,-1,4],[2,0,3]]) #值 b=np.array([5,-2,2.5]) #计算 x=solve(a,b) #打印结果 print(x)
执行结果:
C:\Anaconda3\python.exe "C:\Program Files\JetBrains\PyCharm 2019.1.1\helpers\pydev\pydevconsole.py" --mode=client --port=59051 import sys; print(‘Python %s on %s‘ % (sys.version, sys.platform)) sys.path.extend([‘C:\\app\\PycharmProjects‘, ‘C:/app/PycharmProjects‘]) Python 3.7.6 (default, Jan 8 2020, 20:23:39) [MSC v.1916 64 bit (AMD64)] Type ‘copyright‘, ‘credits‘ or ‘license‘ for more information IPython 7.12.0 -- An enhanced Interactive Python. Type ‘?‘ for help. PyDev console: using IPython 7.12.0 Python 3.7.6 (default, Jan 8 2020, 20:23:39) [MSC v.1916 64 bit (AMD64)] on win32 runfile(‘C:/app/PycharmProjects/ArtificialIntelligence/test.py‘, wdir=‘C:/app/PycharmProjects/ArtificialIntelligence‘) [0.5 4.5 0.5]
对2x-4=0的一元一次方程求解
from sympy import * x= symbols(‘x‘) print(solve(x*2-4,x))
执行结果:
C:\Anaconda3\python.exe "C:\Program Files\JetBrains\PyCharm 2019.1.1\helpers\pydev\pydevconsole.py" --mode=client --port=59147 import sys; print(‘Python %s on %s‘ % (sys.version, sys.platform)) sys.path.extend([‘C:\\app\\PycharmProjects‘, ‘C:/app/PycharmProjects‘]) Python 3.7.6 (default, Jan 8 2020, 20:23:39) [MSC v.1916 64 bit (AMD64)] Type ‘copyright‘, ‘credits‘ or ‘license‘ for more information IPython 7.12.0 -- An enhanced Interactive Python. Type ‘?‘ for help. PyDev console: using IPython 7.12.0 Python 3.7.6 (default, Jan 8 2020, 20:23:39) [MSC v.1916 64 bit (AMD64)] on win32 runfile(‘C:/app/PycharmProjects/ArtificialIntelligence/test.py‘, wdir=‘C:/app/PycharmProjects/ArtificialIntelligence‘) [2]
需要说明的是:solve:第一个参数为要解的方程,要求右端等于0,第二个参数为要解的未知数。还有一些 其他的参数,想了解的可以去看官方文档。
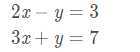
求解方程:

from sympy import * x,y= symbols(‘x,y‘) print(solve([2*x-y-3,3*x+y-7],[x,y]))
执行结果:
C:\Anaconda3\python.exe "C:\Program Files\JetBrains\PyCharm 2019.1.1\helpers\pydev\pydevconsole.py" --mode=client --port=59201 import sys; print(‘Python %s on %s‘ % (sys.version, sys.platform)) sys.path.extend([‘C:\\app\\PycharmProjects‘, ‘C:/app/PycharmProjects‘]) Python 3.7.6 (default, Jan 8 2020, 20:23:39) [MSC v.1916 64 bit (AMD64)] Type ‘copyright‘, ‘credits‘ or ‘license‘ for more information IPython 7.12.0 -- An enhanced Interactive Python. Type ‘?‘ for help. PyDev console: using IPython 7.12.0 Python 3.7.6 (default, Jan 8 2020, 20:23:39) [MSC v.1916 64 bit (AMD64)] on win32 runfile(‘C:/app/PycharmProjects/ArtificialIntelligence/test.py‘, wdir=‘C:/app/PycharmProjects/ArtificialIntelligence‘) {x: 2, y: 1}
一元二次方程的求解
求解:

from sympy import * x= symbols(‘x‘) print(solve(x**2+2*x+1,x))
执行结果:
[-1] [Finished in 1.0s]
求解八元一次方程
from sympy import * a1,b1,c1,d1,a2,b2,c2,d2=symbols(‘a1,b1,c1,d1,a2,b2,c2,d2‘) x0,x1,x2,y0,y1,y2=symbols(‘x0,x1,x2,y0,y1,y2‘) result=solve([a1+b1*x0+c1*x0*x0+d1*x0*x0*x0-y0, a1+b1*x1+c1*x1*x1+d1*x1*x1*x1-y1, a2+b2*x1+c2*x1*x1+d2*x1*x1*x1-y1, a2+b2*x2+c2*x2*x2+d2*x2*x2*x2-y2, b1+2*c1*x1+3*d1*x1*x1-b2-2*c2*x1-3*d2*x1*x1, c1+3*d1*x1-c2-3*d2*x1, c1+3*d1*x0, c2+3*d2*x2],[a1,b1,c1,d1,a2,b2,c2,d2]) #设置参数 cs=[(x0,6),(x1,9),(x2,12),(y0,0),(y1,3),(y2,0)] # print(result[a1]) # print(result[b1]) # print(result[c1]) # print(result[d1]) # print(result[a2]) # print(result[b2]) # print(result[c2]) # print(result[d2]) a1=result[a1].subs(cs) b1=result[b1].subs(cs) c1=result[c1].subs(cs) d1=result[d1].subs(cs) a2=result[a2].subs(cs) b2=result[b2].subs(cs) c2=result[c2].subs(cs) d2=result[d2].subs(cs) print(a1) print(b1) print(c1) print(d1) print(a2) print(b2) print(c2) print(d2)
执行结果
C:\Anaconda3\python.exe "C:\Program Files\JetBrains\PyCharm 2019.1.1\helpers\pydev\pydevconsole.py" --mode=client --port=59277 import sys; print(‘Python %s on %s‘ % (sys.version, sys.platform)) sys.path.extend([‘C:\\app\\PycharmProjects‘, ‘C:/app/PycharmProjects‘]) Python 3.7.6 (default, Jan 8 2020, 20:23:39) [MSC v.1916 64 bit (AMD64)] Type ‘copyright‘, ‘credits‘ or ‘license‘ for more information IPython 7.12.0 -- An enhanced Interactive Python. Type ‘?‘ for help. PyDev console: using IPython 7.12.0 Python 3.7.6 (default, Jan 8 2020, 20:23:39) [MSC v.1916 64 bit (AMD64)] on win32 runfile(‘C:/app/PycharmProjects/ArtificialIntelligence/test.py‘, wdir=‘C:/app/PycharmProjects/ArtificialIntelligence‘) 3 -9/2 1 -1/18 -78 45/2 -2 1/18
Python求解各种复杂的线性/非线性方程组
本文将要介绍几种方法去求解各种复杂的方程组,包括实数域和复数域的线性、非线性方程组,并对比这几种方法的优缺点。本文用到了numpy、scipy、sympy这三个科学计算包。
线性方程组可以用numpy去求解。
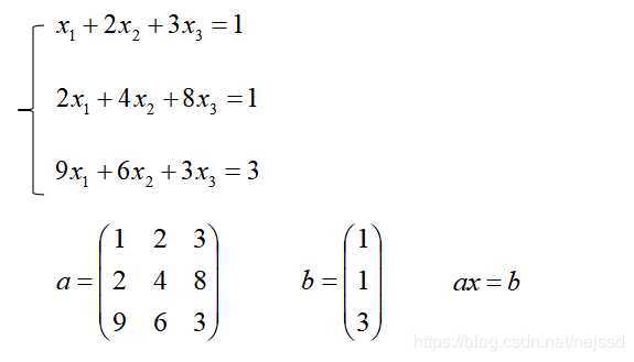
1.实数域。

import numpy as np a=np.mat(‘1,2,3;2,4,8;9,6,3‘) b=np.mat(‘1;1;3‘) c=np.linalg.solve(a,b)
输出如下:

2.复数域。

import numpy as np a=np.mat(‘1,-1j;1j,-1‘) b=np.mat(‘1;1‘) c=np.linalg.solve(a,b)
输出如下:

scipy和sympy不但可以解线性方程(组),还可以求解非线性方程(组),但是也有各自的优缺点。
1.scipy求解
scipy.optimize里面有两个函数可以数值求解方程组,分别是root和solve,这两个函数会找到方程组的一个近似解。下面通过例子介绍这两个函数的使用。
(1).root
scipy.optimize.root(fun, x0, args=(), method=‘hybr’, jac=None, tol=None, callback=None, options=None)
其中参数fun是一个函数,你需要定义这个函数,并且你定义的这个函数返回一个方程组。 参数x0是方程组解的初始猜测值,是必须要指定的参数,root函数将找到最靠近x0的一个解。参数args是函数fun的额外参数。参数method默认是‘hybr’,此参数还可以取 ‘lm’ ‘broyden1’ ‘broyden2’ ‘anderson’ ‘linearmixing’ ‘diagbroyden’ ‘excitingmixing’ ‘krylov’ ‘df-sane’,代表采用不同的算法去求解。参数tol可以认为是精度。
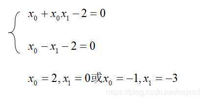
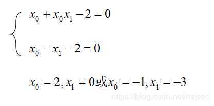
先来看看实数域的例子

from scipy.optimize import root def f1(x): return [x[0]+x[0]*x[1]-2,x[0]-x[1]-2] print(root(f1,[0,-1]).x)#初始猜测值[0,-1] print(root(f1,[0,0]).x)#初始猜测值[0,0]
输出如下:

求出的近似解与真解相差非常小。设置不同的初始猜测值可能得到不同的解,这是因为有的方程组的解不一定只有一个,可能有多个解,root函数会得到最接近初始猜测值的一个解。
此外,在上面的基础上我们可以设置参数jac来提高运算速度(尤其是计算量很大时效果很明显)。
我们需要再定义一个函数,这个函数返回值是方程组对应的雅可比矩阵,通过下面的例子说明。

from numpy import array,mat,sin,cos,exp from scipy.optimize import root def f(x): eqs=[] eqs.append(x[0]*x[1]+x[1]*x[2]+sin(x[0])*exp(x[1])+x[1]) eqs.append(x[0]*x[1]-exp(x[0])*x[1]+1) eqs.append(x[1]*x[2]+exp(x[1])*x[2]+1) return eqs def jac1(x):#方程组对应的雅可比矩阵 return mat([[x[1]+cos(x[0])*exp(x[1]), x[0]+x[2]+sin(x[0])*exp(x[1])+1, x[1]], [x[1]-exp(x[0])*x[1], x[0]-exp(x[0]), 0], [0 ,x[2]+exp(x[1])*x[2], x[1]+exp(x[1])]]) print(root(f,[0,0,0]).x) print(root(f,[0,0,0],jac=jac1).x)#加上参数jac加快运算速度
输出如下:

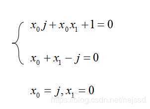
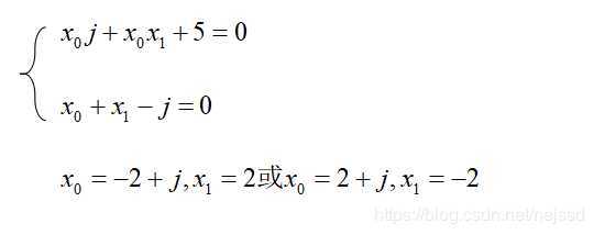
再来看一个复数域的例子
如果不设置参数method,它默认是‘hybr’,即用改进的Powell hybrid算法求解,它不适用于复数域。此时我们不能再用上面的办法,我们可以设置参数method=‘krylov’ (此算法牺牲精度换取速度,有利有弊)

from scipy.optimize import root def f1(x): return [x[0]*(1j)+x[0]*x[1]+1,x[0]+x[1]-1j] print(root(f1,[1,1],method=‘krylov‘).x) print(root(f1,[1,1],method=‘krylov‘,tol=1e-10).x)#设置能够允许的误差为10的-10次方
输出如下:

第一行输出没有设置参数tol,得到的解与真解的差别还是有一点的。
第二行输出我们设置了参数tol是10的-10次方,得到的解与真解的差别就相当小了。
另外method参数也可以设为别的,解复数域的非线性方程组建议用method=‘krylov’,它不需要雅可比矩阵,它在处理很庞大、变量很多的方程组时比较好用。
(2).fslove
fsolve的用法和root很类似,但是它的功能不如root全面,fsolve其实就是用hybr算法求解, 因此它不能解复数域的方程组。下图可以看出fsolve和root的差别:

可见,fsolve只是root的一小部分。
scipy.optimize.fsolve(func, x0, args=(), fprime=None, full_output=0, col_deriv=0, xtol=1.49012e-08, maxfev=0, band=None, epsfcn=None, factor=100, diag=None)
(其中参数fprime对应雅可比矩阵,其余参数和root函数基本一样。)

from scipy.optimize import fsolve from numpy import array,mat def f1(x): return [x[0]+x[0]*x[1]-2,x[0]-x[1]-2] def jac1(x):#方程组对应的雅可比矩阵 return mat([[1+x[1],x[0]],[1,-1]]) print(fsolve(f1,[0,-1]))#初始猜测值[0,-1] print(fsolve(f1,[0,-1],fprime=jac1))#初始猜测值[0,-1],并设置参数prime print(fsolve(f1,[0,0]))#初始猜测值[0,0] print(fsolve(f1,[0,0],fprime=jac1))#初始猜测值[0,0],并设置参数prime
2.sympy求解
sympy中的solve函数可以严格求解某些方程组,nsolve可以数值求近似解。
(1).solve
直接看一个复数域的例子:

from sympy import symbols,Eq,solve x0,x1=symbols(‘x0 x1‘) eqs=[Eq(x0*(1j)+x0*x1,-5),Eq(x0+x1,1j)] print(solve(eqs,[x0,x1]))
输出如下:

solve函数就会找到所有的解。但是像超越方程之类的不存在求根公式的方程,solve函数是不能求解的,只能数值求解,要用nsolve函数。
(2).nsolve
nsolve函数需要指定一个初始猜测解。
from sympy import symbols,Eq,nsolve x0,x1=symbols(‘x0 x1‘) eqs=[Eq(x0*(1j)+x0*x1,-5),Eq(x0+x1,1j)] print(nsolve(eqs,[x0,x1],[1,1]))#初始猜测解设为[1,1]
输出如下:

nsolve有时候并不是很好使,初始猜测解设的不好,它有可能找不到解。
三、scipy和sympy的优缺点分析。
1.scipy.optimize.root求解方程组速度很快,尤其是加上参数jac或参数method=‘krylov’时,求解大型方程组速度会很明显的比其它办法快,即使是1000个变量的方程组,它也能很快解完。但是有的方程组有多解(比如二次方程有俩根),而scipy.optimize.root只能得到靠近初始猜测值的那个解。
2.对一些形式比较简单的、有求根公式的方程,sympy.solve虽然能得到它所有的严格解,但是当方程组变量较多时,它求起来会很慢。而且对于不存在求根公式的复杂方程,sympy.solve是求不了的,这时要用sympy.nsolve的求数值解,速度也比scipy.optimize.root慢很多。
四、总结
1.线性方程组用numpy.linalg.solve足矣。(实数域复数域都可以)
2.求解非线性方程组,如果存在求根公式的且未知量数目较少的方程组,可以用sympy求。如果是很庞大且形式较复杂的方程组,用scipy.optimize.root数值求解,最好写出雅可比矩阵以提高运算速度。(如果你懒得写雅可比矩阵,就设置参数method=‘krylov’,解起来速度也很快,只不过精度不高)。
最后展示一段代码,测试一下scipy.optimize.root的求解速度,这里是求解含有400个未知量的非线性方程组,解20次,耗时2秒。
from numpy import array,arange,sin,cos,sqrt,exp,pi,meshgrid,dtype,linalg,zeros from scipy.optimize import root,fsolve from matplotlib.pyplot import figure,xlabel,ylabel,show,text from mpl_toolkits.mplot3d import Axes3D from time import time def run(m,n,marker=None): v=1 L,T=pi,1 h,tao=L/m,T/n mlist=arange(0,m+1) nlist=arange(0,n+1) f=lambda x,t:exp(-2*t)*sin(x)*cos(x) phi=lambda x:sin(x) realsolve=lambda x,t:exp(-t)*sin(x) mysolves=[phi(mlist*h)] def u(x,ii,j): if j==1: return x[ii] elif j==1/2: return (x[ii]+x_former[ii])/2 elif j==0: return x_former[ii] else: print("error") def jac(x):#雅可比矩阵 a=zeros((m+1,m+1)) a[0][0]=1 a[-1][-1]=1 for i in range(1,m): a[i][i-1]=1/6/h*((x[i+1]+x_former[i+1])/2-(x[i-1]+x_former[i-1])/2-((x[i-1]+x_former[i-1])/2+(x[i]+x_former[i])/2+(x[i+1]+x_former[i+1])/2))-v/(2*h*h) a[i][i]=1/tao+1/6/h*((x[i+1]+x_former[i+1])/2-(x[i-1]+x_former[i-1])/2)+v/(h*h) a[i][i+1]=1/6/h*((x[i+1]+x_former[i+1])/2-(x[i-1]+x_former[i-1])/2+((x[i-1]+x_former[i-1])/2+(x[i]+x_former[i])/2+(x[i+1]+x_former[i+1])/2))-v/(2*h*h) return a def eqsgroup(x): eqs=[x[0]] for i in range(1,m): eqs.append(1/tao*(u(x,i,1)-u(x,i,0))+1/(6*h)*(u(x,i-1,1/2)+u(x,i,1/2)+u(x,i+1,1/2))*(u(x,i+1,1/2)-u(x,i-1,1/2))-v/h/h*(u(x,i-1,1/2)-2*u(x,i,1/2)+u(x,i+1,1/2))-f(i*h,k*tao) )# eqs.append(x[m]) return array(eqs) x_former=phi(mlist*h) start=time() for k in arange(0,n): #x_former=fsolve(eqsgroup,x_former,fprime=jac) x_former=root(eqsgroup,x_former,jac=jac).x mysolves.append(list(x_former)) print(‘scipy计算时间为‘,time()-start,‘秒‘) x,y=mlist*h,nlist*tao x,y=meshgrid(x, y) z=array(mysolves,dtype=dtype(‘float32‘)) z2=array(realsolve(x,y)) dz=z-z2 ekmax=array(linalg.norm(dz,axis=1)*sqrt(h)).max() fig = figure(figsize=(15, 10),dpi=80) axes3d = Axes3D(fig) axes3d.set_title(r‘$h=\pi/$‘+str(m)+r‘ $\tau=1/$‘+str(n),color = ‘black‘,size = 30) axes3d.plot_surface(x,y,z) axes3d.plot_surface(x,y,z2) xlabel(‘x‘,color = ‘black‘,size = 30) ylabel(‘t‘,color = ‘black‘,size = 30) axes3d.set_xlim(0,pi) axes3d.set_xticks([0,pi/4,pi/2,0.75*pi,pi]) axes3d.set_xticklabels([0, r‘$\frac{\pi}{4}$‘, r‘$\frac{\pi}{2}$‘, r‘$\frac{3\pi}{4}$‘, r‘$\pi$‘],size=20) axes3d.set_zlabel(r‘$U(x,t)$‘,color = ‘black‘,size=30) axes3d.set_zticks(arange(0,1,0.1)) axes3d.set_zticklabels([0, 0.1, 0.2, 0.3, 0.4, 0.5, 0.6, 0.7, 0.8, 0.9],size=13) show() run(400,20)
如果用sympy去解,等很久都解不出。scipy解非线性方程组的能力不比matlab差。
import numpy as np
A = np.array([[3,-1],[-1,3]])
print(‘打印A:\n{}‘.format(A))
a, b = np.linalg.eig(A)
print(‘打印特征值a:\n{}‘.format(a))
print(‘打印特征向量b:\n{}‘.format(b))
执行结果:
C:\Anaconda3\python.exe "C:\Program Files\JetBrains\PyCharm 2019.1.1\helpers\pydev\pydevconsole.py" --mode=client --port=54930 import sys; print(‘Python %s on %s‘ % (sys.version, sys.platform)) sys.path.extend([‘C:\\app\\PycharmProjects‘, ‘C:/app/PycharmProjects‘]) Python 3.7.6 (default, Jan 8 2020, 20:23:39) [MSC v.1916 64 bit (AMD64)] Type ‘copyright‘, ‘credits‘ or ‘license‘ for more information IPython 7.12.0 -- An enhanced Interactive Python. Type ‘?‘ for help. PyDev console: using IPython 7.12.0 Python 3.7.6 (default, Jan 8 2020, 20:23:39) [MSC v.1916 64 bit (AMD64)] on win32 runfile(‘C:/app/PycharmProjects/ArtificialIntelligence/test.py‘, wdir=‘C:/app/PycharmProjects/ArtificialIntelligence‘) 打印A: [[ 3 -1] [-1 3]] 打印特征值a: [4. 2.] 打印特征向量b: [[ 0.70710678 0.70710678] [-0.70710678 0.70710678]]
import numpy as np # Hypothsis : A*X = b A = [[2,1,2], [3,1,0], [1,1,-1]]; b = np.transpose([-3,5,-2])# 转置 #[or] b = np.transpose(np.array([-3,5,-2]))# 转置 # 求解未知参数矩阵X X = np.linalg.solve(A,b) # 方式一:直接使用numpy的solve函数一键求解 #A_inv=np.linalg.inv(A) # 方式二:先求逆运算,再点积求值 #X=np.dot(A_inv,b) # a.dot(b) 与 np.dot(a,b) 效果相同;but np.dot(a,b)与np.dot(b,a)效果肯定是不同的(线性代数/矩阵常识) print("方程组的解:\n",X); # [output] 方程组的解: [ 4.4 -8.2 -1.8]
给出一组数据【5对(Xi,Yi)参数】,用最小二乘法,求形如:f(x)=a+b*x^3的经验公式。

即
import numpy as np import matplotlib.pyplot as plt # Python 绘图工具(业界推荐) # 数据初始化 A = [ [1,pow(-3,3)], [1,pow(-2,3)], [1,pow(-1,3)], [1,pow(2,3)], [1,pow(4,3)] ]; At = np.transpose(A); # A的转置矩阵 y = np.transpose([14.3,8.3,4.7,8.3,22.7]); # step1:求解 ## 令 (a ,b)^T 为 未知参数X X = np.dot(np.dot(np.linalg.inv(np.dot(At,A)),At),y) print(X) print("a:",X[0]) print("b:",X[1]) # step2:查看拟合效果 x = [-3,-2,-1,2,4]; ## 1. 计算拟合数值 fitValue def fitValue(arg_x): a = X[0]; b = X[1]; return a + b*pow(arg_x,3); fitValues = np.zeros([5]); # 创建长为5的【一维】数组;[1,5]:创建第1行为5个元素的【二维】数组 for i in range(0,len(fitValues)): fitValues[i] = fitValue(x[i]); print(i,":","x(i):",x[i],"fit Y:",fitValues[i]); # just for test pass; ## 2. 绘图可视化 yt = np.transpose(y); # y的转置 plt.rcParams[‘figure.dpi‘] = 100 #分辨率 plt.scatter(x, yt, marker = ‘*‘,color = ‘red‘, s = 10 ,label = ‘Actual Dataset‘) # 真实数据集 plt.scatter(x, fitValues, marker = ‘x‘,color = ‘green‘, s = 10 ,label = ‘Fitting Dataset‘) #[拟合数据集] plt.legend(loc = ‘best‘) # 设置 图例所在的位置 使用推荐位置 plt.show() # [output] [ 10.67505325 0.13679816] a: 10.6750532504 b: 0.136798159666 0 : x(i): -3 fit Y: 6.98150293942 1 : x(i): -2 fit Y: 9.58066797308 2 : x(i): -1 fit Y: 10.5382550907 3 : x(i): 2 fit Y: 11.7694385277 4 : x(i): 4 fit Y: 19.430135469

samples, step])),import numpy as np a = np.linspace(1,10,5,endpoint= True) print(a) # [ 1. 3.25 5.5 7.75 10. ] b = np.linspace(1,10,5,endpoint= False) print(b) #[1. 2.8 4.6 6.4 8.2] c = np.linspace(1,10,5,retstep = False) print(c) # [ 1. 3.25 5.5 7.75 10. ] d = np.linspace(1,10,5,retstep = True) print(d) # (array([ 1. , 3.25, 5.5 , 7.75, 10. ]), 2.25)
print("原矩阵A:\n",A); print("原矩阵b:\n",b); print("转置矩阵A^T:\n",np.transpose(A)); # 转置 print("矩阵的行列式值|A|:\n",np.linalg.det(A)); # 方阵的行列式值:|A| print("矩阵的迹trace(A):\n",np.trace(A)); print("矩阵的秩rank(A):\n",np.linalg.matrix_rank(A)); print("逆矩阵A^(-1):\n",np.linalg.inv(A)); #矩阵的逆运算(条件:矩阵A可逆(行列式值不为0)| 矩阵A为方阵) print("*"*30); # 分隔线 print("N阶单位矩阵:\n",np.eye(4)); print(np.zeros([5])); # 创建长为5的【一维】数组;[1,5]:创建第1行为5个元素的【二维】数组 # 创建指定的初始化数组 print(np.array([1])) # 生成 第1行含值为1的元素的【一维】数组 print(np.array([[56]])) # 生成 第1行含值为56的元素的【二维】数组 np.full((3,5),3.14) # 创建一个3x5的浮点型数组,数组的值都是3.14 # [output] 原矩阵A: [[2, 1, 2], [3, 1, 0], [1, 1, -1]] 原矩阵b: [-3 5 -2] 转置矩阵A^T: [[ 2 3 1] [ 1 1 1] [ 2 0 -1]] 矩阵的行列式值|A|: 5.0 矩阵的迹trace(A): 2 矩阵的秩rank(A): 3 逆矩阵A^(-1): [[-0.2 0.6 -0.4] [ 0.6 -0.8 1.2] [ 0.4 -0.2 -0.2]] ********************** N阶单位矩阵: [[ 1. 0. 0. 0.] [ 0. 1. 0. 0.] [ 0. 0. 1. 0.] [ 0. 0. 0. 1.]] [ 0. 0. 0. 0. 0.] [1] [[56]]
原文:https://www.cnblogs.com/huanghanyu/p/13163037.html