这篇cvpr2019的论文主要提出了一个损失函数Class-Balanced Loss用来处理数据长尾问题
长尾问题是由于分类问题中数据集每类的数据量不同,导致分类准确度下降。举个极端点的例子有助于理解:A、B二分类问题,数据集中,A、B数据量比例为999:1,为了减少损失值,网络很自然的将所有图片都分到A类,这样准确率为99.9%,但是明显这个网络不能用。
为了解决长尾问题,前人也提出了不少办法,比如将B图片数据增强,缩放、旋转、平移、裁剪,使得B类别中有999张图片,这样数据就均衡了;或者给A的损失值之前加一个权重系数(1/999)。理想很丰满,现实很骨感。这样做提升效果有限。
为什么呢?打个比方:假设AB两个类别分别是一个圆形,数据集中的数据就是圆形中的点。如果训练时你能把圆中每个点都取到了,测试时网络的准确率一定是100%,毕竟所有点都记录在案了。然而实际上不可能取到圆中每一个点,同样也不能取到类中的每一个数据。我们可以退而求其次,如果能从圆中均匀的取足够多的点,也能反应出这个圆(类别)的特性。然而用上面提到的两种方法做数据增强,相当于在已有点周围取点,很明显这些点不能反映圆(类别)的特性。
那什么样的点能够反映圆的特性呢?换言之,哪些点是有效的,哪些点是无效的呢?
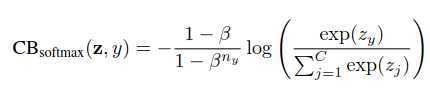
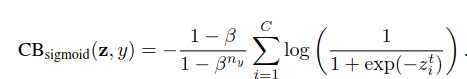
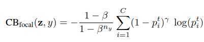
这篇论文一开始就提出一个概念:Effective Number(有效数据,用E来表示),如果知道了每个类别中的有效数据数量,问题似乎就好办多了:CB = 1/E * L 。其中CB是本文提出的Class-Balanced Loss,L是普通损失函数,可以任意更换。
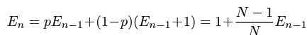
现在要做的就是求有效数据E。先给结论:
,其中
,N为有效样本的上限,该类别的采样数(数据集中该类别的图片数量),可以用归纳法证明
当n=1时,E1=1
当n>1时,
,因为
所以,
所以最终,
是Class-Balanced Loss
是普通损失函数,可以任意更换。
由于现实中,N无法得到,因此
无法计算,因为N几近无穷,因此β取一个接近1的数,作者代码里给的是0.9999。
这样,这个问题就完美解决。
作者在论文里还尝试了该算法与一些传统算法结合,效果也不错:



处理长尾问题:Class-Balanced Loss Based on Effective Number of Samples
原文:https://www.cnblogs.com/jiangnanyanyuchen/p/13232195.html