判定一个链表是否有环

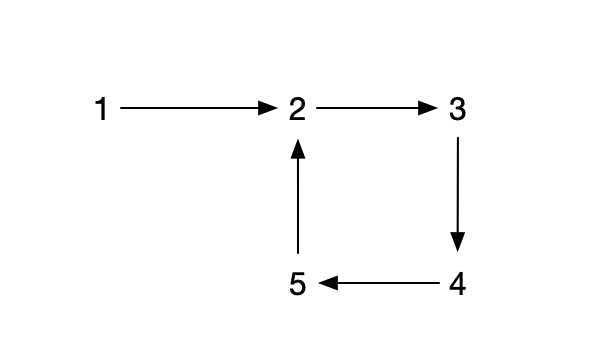
这张图不存在环,头结点是1,尾结点是5。

这张图中,节点2-3-4-5-2就构成了环。
顾名思义,一个快指针,一个慢指针。
如果不包括环,快慢指针同向行驶,根据小学经典数学题,他们永远无法相遇,而且差距只会越来越大。
如果链表有环,意味着快慢指针都会调头,好比操场跑步,第一圈快指针在慢指针前面,但是后面快指针迟早会追上慢指针。所以可以借助这个思想,使用快慢指针判定是否有环。

图中,slow代表慢指针,每次只走一步,fast代表快指针,每次走两步。
第一次:slow停在节点2,fast停在节点3
第二次:slow停在节点3,fast停在节点5
第三次:slow停在节点4,fast停在节点3
第四次:slow停在节点5,fas停在节点5
至此,快指针已经”撵上“了慢指针。
代码实现
func hasCycle(head *ListNode) bool {
slow := head
fast := head
for fast.Next != nil && fast != nil {
if slow.Val == fast.Val {
return true
} else {
slow = slow.Next
fast = fast.Next.Next
}
}
return false
}
遍历链表,如果节点的值与一个特殊的值不相等,则将遍历过的节点的值设置成一个特殊的值,相当于打标记。
如果链表遍历完,发现所有节点都不等于这个特殊的值,则判定链表无环。
如果在遍历的过程中,发现有节点等于这个特殊的值,则认为有环。
代码实现
func hasCycle2(head *ListNode02) bool {
if head == nil {
return false
}
for head != nil {
if head.Val == 5201314 {
return true
}
head.Val = 5201314
head = head.Next
}
return false
}
只能说,第一个想到这个思路的,脑洞是有多大~
老王:你不好好种地,你以后长大能干什么
小王:学算法
老王:学算法?!你数组、链表、栈、队列、堆、排序、查找都整不明白,你学什么算法
小王:我只学如何判断链表是否有环
老王:。。。
如果您觉得阅读本文对您有帮助,请点一下“推荐”按钮,您的“推荐”将是我最大的写作动力!如果您想持续关注我的文章,请扫描二维码,关注JackieZheng的微信公众号,我会将我的文章推送给您,并和您一起分享我日常阅读过的优质文章。
原文:https://www.cnblogs.com/bigdataZJ/p/ddu-algo-linklist-cycle.html