题目描述
在纸上有一个长为n的数列,第i项值为ai。
现在小A想要在这些数之间添加加号或乘号。问对于不同的 种方案,
所有答案的和是多少?
由于数据范围较大,所以输出对1000000007取模的结果。
输入格式
输入第一行一个整数n表示数列的长度。
之后一行n个整数,第n个整数表示数列的第i项ai。
输出格式
一行,答案对1000000007取模的结果。
样例输入
3
1 2 4
样例输出
30
数据范围与提示
对于30%的数据,1≤n≤10,1≤ai≤10^5
对于另外30%的数据,1≤n≤1000,ai=1
对于90%的数据,1≤n≤1000,1≤ai≤10^5
对于100%的数据,1≤100000,1≤ai≤10^9
分析
题目大意:如果有 n 个数,添加乘号或加号总共有 \(2^{n-1}\) 种方案,要求对其求和。
- 首先想到暴搜,但是好像又不太好写,因为有加号有乘号的时候会先计算乘法,需要考虑的比较多,我是直接 pass 了。
- 那就考虑递推呗。因为加法乘法混合的时候有优先级的问题,所以可以考虑如何巧妙的避开这个问题。我们可以考虑最后一个加号的位置,再之后所有的数之间都是做乘法,这样前后两部分相加就行了。顺着这个思想继续的话, 我们得考虑最后一个加号的位置,有 n 个数就会有 n-1 个位置,可以枚举一下。
设 f[i] 表示 i 个数的总和,那么针对最后一个加号的位置,设最后一个加号在第 j 个数之后,那么有:
\(f[i] = \sum_{j=1}^{i-1}(f[j]+a_{j+1}\times a_{j+2}\times\dots\times a_i\times 2^{j-1}) + \prod_{k=1}^i a_k\)。
我们一项一项来分析:
- 因为最后一个加号的位置为 a[j] 之后,所以前面的总和我是预先已经得到的 f[j],为 \(2^{j-1}\) 种方案的和,剩下的还有 \(a_{j+1}\dots a_i\) 的乘积,相当于在原来的 f[j] 的每种方案中都要加上这么一个乘积,总共加了 \(2^{j-1}\) 次。
- 对于不同的 j,我们求和即可表示所有的方案。
- 最后别忘了还有一种方案是所有的都是乘号。
我们把上面的式子展开一下:
\(f[i] = \sum_{j=1}^{i-1}f[j] + \sum_{j=1}^{i-1} (a_{j+1}\times a_{j+2}\times\dots\times a_i\times 2^{j-1}) + \prod_{k=1}^i a_k\)。
下面我们又可以显然了:
- 显然第一部分的求和是可以递推解决的,设为sum[i-1]
- 显然最后一部分的乘积也可以递推解决,记为 pi[i]
- 显然中间的部分不好看出来,那就写一下

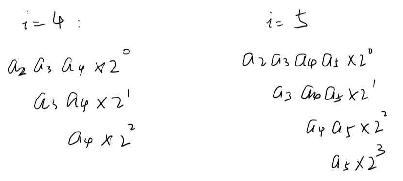
对比 i = 4 和 i = 5 的时候,我们可以很容易找到递推式:
设 s[i] 表示那一堆的和,那么:
\(s[i] = s[i-1]\times a[i] + a[i] \times 2^{i-2}\)
因此我们就可以直接递推了:
\(f[i]=sum[i-1] + s[i] + pi[i]\)
之后再更新一下 sum[i] 即可。
数列运算 题解
原文:https://www.cnblogs.com/kuangbiaopilihu/p/13272860.html