最近对比复习了模电里面同相加法器与反相加法器电路。分析了他们之间的差别,并将分析过程记录在下,欢迎大家交流讨论。
1、反相加法器

R为平衡电阻,R=R1//R2//Rf。
根据运算放大器的虚短虚断特性,反相输入端的电压为0V

2、同相加法器

根据运算放大器的虚短虚断特性,同相输入端的电压为:

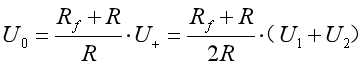
则输出电压Uo为:

当R=R1=R2时,Uo可以化简为:

优缺点对比:
同相加法器的输入阻抗大,输出阻抗小
反相比较器的输入阻抗小,输出阻抗大
因此,反相加法器的应用电路比同相加法器运用较广,同相加法器的缺点是输出电压反相,需要负电源。
原文:https://www.cnblogs.com/cjyc/p/13560007.html