首页 > 编程语言 > 详细

莫队算法 --算法竞赛专题解析(26)

时间:2020-09-10 08:34:30      阅读:139      评论:0      收藏:0      [点我收藏+]

本系列文章将于2021年整理出版。前驱教材:《算法竞赛入门到进阶》 清华大学出版社
网购:京东 当当 ??作者签名书:点我
有建议请加QQ 群:567554289

阅读本文前,请先了解分块算法。参考我写的博客:
https://www.cnblogs.com/luoyj/p/13643357.html

1. 基础莫队算法

?? 莫队算法 = 离线 + 暴力 + 分块。(莫队:2010年信息学国家集训队队员莫涛感谢莫涛对本文的图6提出修改意见。)
?? “离线”和“在线”的概念。在线是交互式的,一问一答;如果前面的答案用于后面的提问,称为“强制在线”。离线是非交互的,一次性读取所有问题,然后一起回答,"记录所有步,回头再做”。
?? 基础的莫队算法是一种离线算法,它通常用于不修改只查询的一类区间问题,复杂度\(O(n\sqrt{n})\),没有在线算法线段树或树状数组好,但是编码很简单。下面是一道莫队模板题。


HH项链 洛谷 1972
题目描述:给定一个数量,询问某个区间内不同的数有多少个。
输入:第一行一个正整数 n,表示数列长度。第二行n个正整数 ai。第三行一个整数m,表示HH 询问的个数。接下来 m 行,每行两个整数 L,R,表示询问的区间。
输出:输出m行,每行一个整数,依次表示询问对应的答案。


??题目询问区间内不同的数有多少个,即去重后数字的个数,本题的标准解法是线段树或树状数组。下面首先给出暴力法,然后再引导出莫队算法。

1.1 暴力法

?? 可以用STL的unique()函数去重,一次耗时O(n),m次的总复杂度O(mn)。或者自己编码, 用扫描法统计数字出现的次数,这是一种简单易行的暴力法。
(1)查询一个区间有多少个不同的数字
?? 定义cnt[],cnt[x]表示数字x出现的次数;定义答案为ans,即区间内不同的x有多少个。
?? 用指针L、R单向扫描,从数列的头扫到尾,L最终落在查询区间的最左端,R落在区间最右端。L往右每扫一个数x,就把它出现的次数cnt[x]减去1;R往右每扫到一个数x,就把它出现的次数cnt[x]加上1。扫描完区间后,cnt[x]的值就是x在区间内出现的次数。若cnt[x]=1说明x第1次出现,ans加1;若cnt[x]变为0,说明它从区间里消失了,ans减1。
?? 下面的例子是统计区间[3, 7]内有多少不同的数字,初始指针L=1,R=0。

技术分享图片
图1 统计一个区间

??图(1):L=1、R=0时,cnt[4]=0, cnt[7]=0, cnt[9]=0...答案ans=0。
??图(2):L=2、R=0时,cnt[4]=-1, cnt[7]=0。
??图(3):L=3、R=2时,cnt[4]=0, cnt[7]=0, cnt[9]=0...
??图(4):L=3、R=3时,cnt[4]=0, cnt[7]=0, cnt[9]=1。出现了一个等于1的cnt[9],答案ans = 1。
??图(5):L=3、R=7时,cnt[4]=1, cnt[7]=0, cnt[9]=1, cnt[6]=2, cnt[3]=1,...其中cnt[4], cnt[9], cnt[6], cnt[3]都出现过等于1的情况,所以答案ans = 4。
(2)统计多个区间
?? 从上面查询一个区间的讨论可以知道,在L、R移动过程中,当它们停留在区间[L, R]时,就得到了这个区间的答案ans。那么对m个询问,只要不断移动L、R并与每个询问的区间匹配,就得到了m个区间询问的答案。
?? 为了方便操作,可以把所有询问的区间按左端点排序;如果左端点相同,再按右端点排序。讨论以下情况:
?? 1)简单情况,区间交错,区间[x1, y1]、[x2, y2]的关系是x1 ≤ x2,y1 ≤ y2。例如下图中,查询两个区间[2, 6]、[4, 8]。

技术分享图片
图2 简单情况

??图(1)L、R停留在第1个区间上,得到了第1个区间的统计结果;图(2)L、R停留在第2个区间上,得到了第2个区间的结果。m次查询的m个区间,L、R指针只需要从左头到右(单向移动)扫描整个数组一次即可,总复杂度O(n)。
?? 2)复杂情况,既有区间交错,又有区间包含。区间[x1, y1]、[x2, y2]的包含关系是指x1 ≤ x2,y1 ≥ y2。例如下图中,区间[2, 9]包含了区间[3, 5]。此时L从头到尾单向扫描,而R指针却需要来回往复扫描,每次扫描的复杂度是O(n)。m次查询的总复杂度是O(mn)。

技术分享图片
图3 复杂情况

??R往复移动的时候,R往左每扫一个数x,就把它出现的次数cnt[x]减去1。

1.2 区间查询问题的几何解释

??洛谷P1972的区间查询问题,可以概况为这样一种离线的几何模型:
??(1)m个询问对应m个区间,区间之间的转移,可以用L、R指针扫描,能以O(1)的复杂度从区间[L,R]移动到[L±1, R±1]。
??(2)把一个区间[L, R]看成平面上的一个坐标点(x, y),L对应x,R对应y,那么区间的转移等同于平面上坐标点的转移,计算量等于坐标点之间的曼哈顿距离。注意,所有的坐标点(x, y)都满足x ≤ y,即所有的点都分布在上半平面上。
??(3)完成m个询问,等于从原点出发,用直线连接这m个点,形成一条“Hamilton路径”,路径的长度就是计算量。若能找到一条最短的路径,计算量就最少。
??Hamilton最短路径问题是NP难度的,没有多项式复杂度的解法。那么有没有一种较优的算法,能快速得到较好的结果呢?
??暴力法是按照坐标点(x, y)的x值排序而生成的一条路径,它不是好算法。例如下图(1)的简单情况,暴力法的顺序是好的;但是图(2)的复杂情况,暴力法的路径是(0, 0)-(2, 9)-(3, 5),曼哈顿距离(2-0) + (9-0) + (3-2) + (9-5) = 16,不如另一条路径(0, 0)-(3, 5)-(2, 9),曼哈顿距离 = 13。

技术分享图片
图4 暴力法的路径

??下面介绍的莫队算法,提出了一种较好的排序方法。

1.3 莫队算法

??莫队算法把排序做了简单的修改,就把暴力法的复杂度从O(mn)提高到\(O(n\sqrt{n})\)
??(1)暴力法的排序:把查询的区间按左端点排序,如果左端点相同,再按右端点排序。
??(2)莫队算法的排序:把数组分块(分成\(\sqrt{n}\)块),然后把查询的区间按左端点所在块的序号排序,如果左端点的块相同,再按右端点排序(注意不是按右端点所在的块排序,下一小节“莫队算法的几何解释”将说明原因)。
?? 除了排序不一样,莫队算法和暴力法的其他步骤完全一样。
?? 这个简单的修改是否真能提高效率?下面分析多种情况下莫队算法的复杂度。
?? (1)简单情况。区间交错,设区间[\(P_1, y_1\)]、[\(P_2, y_2\)]的关系是\(P_1 < P_2\)\(y_1 ≤ y_2\),其中\(P_1、P_2\)是左端点所在的块。L、R只需要从左到右扫描一次,m次查询的总复杂度是O(n)。
?? (2)复杂情况。区间包含,设两个区间查询[\(P_1, y_1\)]、[\(P_2, y_3\)]的关系是\(P_1 = P_2,y_2 ≤ y_1\)。,如下图所示。

技术分享图片
图5 按块排序后的区间包含

??此时小区间[\(P_2, y_2\)]排在大区间[\(P_1, y_1\)]的前面,与暴力法正好相反。在区间内,右指针R从左到右单向移动,不再往复移动。而左指针L发生了回退移动,但是被限制在一个长为 的块内,每次移动的复杂度是O(\(\sqrt{n}\))的。m次查询,每次查询左端点只需要移动O(\(\sqrt{n}\))次,右端点R共单向移动O(n)次,总复杂度O(n\(\sqrt{n}\))。
?? (3)特殊情况:m个询问,端点都在不同的块上,此时莫队算法和暴力法是一样的。但此时m小于 ,总复杂度O(mn) = O(\(\sqrt{n}\)n)。

1.4 莫队算法的几何解释

?? 莫队算法的几何意义见图6(感谢莫涛对此图提出修改意见),这张图透彻说明了莫队算法的原理。图中的每个黑点是一个查询。
??图(1)是暴力法排序后的路径,所有的点按x坐标排序,在复杂情况下,路径沿y方向来回往复,震荡幅度可能非常大(纵向震荡,幅度\(O(n)\)),导致路径很长。
??图(2)是莫队算法排序后的路径,它把x轴分成多个区(分块),每个区内的点按y坐标排序,在区内沿x方向来回往复,此时震荡幅度被限制在区内(横向震荡,幅度\(O(\sqrt{n})\)),形成了一条比较短的路径,从而实现了较好的复杂度。

技术分享图片
图6 暴力法和莫队算法的几何对比

??通过图(2)可以更清晰地计算莫队算法的复杂度:
??(1)x方向的复杂度。在一个区块内,沿着x方向一次移动最多\(\sqrt{n}\),所有区块共有m次移动,总复杂度\(O(m\sqrt{n})\)
??(2)y方向的复杂度。在每个区块内,沿着y方向单向移动,整个区块的y方向长度是n,有\(\sqrt{n}\)个区块,总复杂度\(O(n\sqrt{n})\)
??两者相加,总复杂度\(O(m\sqrt{n}+n\sqrt{n})\),一般情况下题目会给出n = m。
??根据图6总结出莫队算法的核心思想:把暴力法的y方向的O(n) 幅度的震荡,改为x方向的受限于区间的O(\(\sqrt{n}\))幅度的震荡,从而减少了路径的长度,提高了效率。
??前面曾提到排序问题,对区间排序是先按左端点所在块排序,再按右端点排序,不是按右端点所在的块排序。原因解释如下:如果右端点也按块排序,几何图就需要画成一个方格图,方格中的点无法排序,实际的结果就是乱序。那么同一个方格内的点,在y方向上就不再是一直往上的复杂度为O(n)的单向移动,而是忽上忽下的往复移动,导致路径更长,复杂度变差。见图7所演示的路径。

技术分享图片
图7 右端点按块排序是错误的

??编码时,还可以对排序做一个小优化:奇偶性排序,让奇数块和偶数块的排序相反。例如左端点L都在奇数块,则对R从大到小排序;若L在偶数块,则对R从小到大排序(反过来也可以:奇数块从小到大,偶数块从大到小)。
??这个小优化对照图4.200(2)很容易理解,图中路径在两个区块之间移动时,是从左边区块的最大y值点移动到右边区块的最小y值点,跨度很大。用奇偶性排序后,奇数块的点从最大y值到最小y值点排序,偶数块从最小y值点到最大y值点排序;那么奇数块最后遍历的点是最小y值点,然后右移到偶数块的最小y值点,这样移动的距离是最小的。从偶数块右移到奇数块的情况类似。
??下面是洛谷P1972的代码。莫队算法和暴力法唯一不同的地方在比较函数cmp()中。

#include<bits/stdc++.h>
using namespace std;
const int maxn = 1e6;
struct node{         //离线记录查询操作
  int L, R, k;       //k:查询操作的原始顺序
}q[maxn];
int pos[maxn];
int ans[maxn];
int cnt[maxn];       //cnt[i]: 统计数字i出现了多少次
int a[maxn];
bool cmp(node a, node b){
	//按块排序,就是莫队算法:
	if(pos[a.L] != pos[b.L])        //按L所在的块排序,如果块相等,再按R排序
		return pos[a.L] < pos[b.L];
	if(pos[a.L] & 1)   return a.R > b.R; //奇偶性优化,如果删除这一句,性能差一点
	return a.R < b.R;     
		/*如果不按块排序,而是直接L、R排序,就是普通暴力法:
		if(a.L==b.L)  return a.R < b.R;
    	return a.L < b.L;   */
}
int ANS = 0;
void add(int x){     //扩大区间时(L左移或R右移),增加数x出现的次数
    cnt[a[x]]++;
    if(cnt[a[x]]==1)  ANS++;   //这个元素第1次出现
}
void del(int x){     //缩小区间时(L右移或R左移),减少数x出现的次数
    cnt[a[x]]--;
    if(cnt[a[x]]==0)  ANS--;   //这个元素消失了
}
int main(){	
    int n; scanf("%d",&n);
    int block = sqrt(n);         //每块的大小
    for(int i=1;i<=n;i++){
        scanf("%d",&a[i]);       //读第i个元素
		pos[i]=(i-1)/block + 1;  //第i个元素所在的块
    }
    int m; scanf("%d",&m);          
    for(int i=1;i<=m;i++){       //读取所有m个查询,离线处理
        scanf("%d%d",&q[i].L, &q[i].R);
        q[i].k = i;              //记录查询的原始顺序
    }
    sort(q+1, q+1+m, cmp);       //对所有查询排序
	int L=1, R=0;                //左右指针的初始值。思考为什么?
    for(int i=1;i<=m;i++){
       	while(L<q[i].L)  del(L++);    //{del(L); L++;}  //缩小区间:L右移
        while(R>q[i].R)  del(R--);    //{del(R); R--;}  //缩小区间:R左移
		while(L>q[i].L)  add(--L);    //{L--; add(L);}  //扩大区间:L左移
        while(R<q[i].R)  add(++R);    //{R++; add(R);}  //扩大区间:R右移
        ans[q[i].k] = ANS;
    }
    for(int i=1;i<=m;i++)   printf("%d\n",ans[i]);  //按原顺序打印结果
    return 0;
}

2. 带修改的莫队

??上一节的基础莫队算法只用于无修改只查询的区间问题,如果是比较简单的“单点修改”,也能应用莫队算法,得到复杂度\(O(mn^{\frac{2}{3}})\)的算法。
??下面的例题是“单点修改 + 区间询问”。


数颜色 洛谷P1903
题目描述:有n个数(其中有些数可能相同),摆成一排。有以下操作:
Q L R 询问:从第L到第R个数,有几个不同的数。
R P Col 修改:把第P个数改成Col。
输入:第1行两个整数n,m,分别代表初始数量以及操作个数。
第2行n个整数,分别代表初始数列中第i个数。
第3行到第2 + m行,每行分别一个操作。
输出:对于每一个询问,输出一个数字,代表第L到第R个数共有几个不同的数。


??如果用莫队算法求解,必须离线,先把查询操作和修改操作分别记录下来。记录查询操作的时候,增加一个变量,记录本次查询前做了多少次修改。
??如果没有修改,就是基础莫队,一个查询的左右端点是[L, R]。加上修改之后,一个查询表示为(L, R, t),t表示在查询[L, R]前进行了t次修改操作。可以把t理解为“时间”,t的范围是1 ≤ t ≤ m,m是操作次数。
??从一个查询移动到另一个查询,除了L、R发生变化外,还要考虑t的变化。如果两个查询的t相同,说明它们是基于同样的数列;如果t不同,两个查询所对应的数列是不同的,那么就需要补上这变化(直接用暴力法编程)。两个查询的t相差越小,它们对应的数列差别越小,计算量也越小,所以对t排序能减少计算量。
??与基础莫队一样,也可以给出带修改莫队的几何解释。基础莫队的左右端点[L, R],对应平面上的点(\(x, y\)) ,带修改的莫队(L, R, t)对应立体空间的(\(x, y, z\))。每个查询对应立体空间的一个点,那么从一个查询到另一个查询,就是从一个点(\(x_1, y_1, z_1\))到另一个点(\(x_2, y_2, z_2\))。计算复杂度仍然是两点之间的曼哈顿距离。
??模仿基础莫队的分块思路。定义带修改莫队的排序,按以下步骤执行:
?? (1)按左端点L排序。若左端点L在同一个块,执行(2)。L对应\(x\)轴。
?? (2)按右端点R排序。若右端点R在同一个块,执行(3)。R对应\(y\)轴。
?? (3)按时间t排序。t对应\(z\)轴。
?? 左端点L所在的块是第1查询关键字,右端点R所在的块是第2关键字,时间t是第3关键字。
?? x方向和y方向的分块,把\(x\)-\(y\)平面分成了方格,代表查询的点在方格内、方格间移动。
?? 根据带修改莫队的几何意义,计算算法的复杂度。这里先不采用 的分块方法,而是设一个分块的大小是B,共有n/B个分块。计算\(x、y、z\)三个方向上的复杂度:
??(1)\(x\)方向的复杂度(左端点指针L)。在一个区块内,沿着\(x\)方向一次最多移动B,所有的区块共有m次移动,总计算量 = \(mB\)
??(2)\(y\)方向的复杂度(右端点指针R)。在一个区块内,沿着\(y\)方向一次最多移动B,所有的区块共有m次移动,总计算量 = \(mB\)
??(3)\(z\)方向的复杂度(时间t)。每个被\(x\)\(y\)区块限制的方格内,沿着\(z\)方向单向移动,最多移动m次,共\(\frac{n^2}{B^2}\)个方格,总计算量 =\(\frac{mn^2}{B^2}\)
??三者相加,总计算量 = \(mB+mB+\frac{mn^2}{B^2}\)。当\(B = n^\frac{2}{3}\)时有较好的复杂度\(O(mn^{\frac{2}{3}})\)
??作为对照,如果分块\(B = \sqrt{n}\),复杂度是\(O(mn)\),退化成了暴力法的复杂度。

3. 树上莫队

??基础莫队和带修改的莫队操作的都是一维数组。基于其他的数据结构的问题,如果能转换成一维数组而且是区间问题,那么也能应用莫队算法。
??典型的例子是树形结构上的路径问题,可以利用“欧拉序”把整棵树的结点顺序转化为一个一维数组,路径问题也变成了区间问题,就能利用莫队算法求解。下面的简单题体现了这个思路。


Count on a tree II 洛谷 SP10707
题目描述:给定有n个结点的数,每个结点有一种颜色。m次询问,每次询问给出两个结点u、v,回答从u到v的路径上有多少个不同颜色的结点。
输入:第一行是n和m,第二行有n个整数,第i个整数表示第i个结点的颜色。下面n-1行,每行有两个整数u、v,表示一个边(u, v)。下面m行,每行有两个整数u、v,表示一个询问,回答从结点u到v的路径上有多少个不同颜色的结点。
输出:对每个询问,输出一个整数。
数据范围:1 ≤ n ≤ 4×\(10^4\),1 ≤ m ≤ \(10^5\)


思路:
1、把树的结点用欧拉序转为一维数组
??用DFS遍历树的结点,有两种遍历方式,得到两种欧拉序:
??(1)在每个结点第一次进和最后一次出都加进序列;
??(2)每遇到一个结点就把它加进序列。
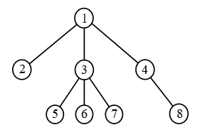
??这里用第(1)种形式的欧拉序。下图的例子,欧拉序:{1, 2, 2, 3, 5, 5, 6, 6, 7, 7, 3, 4, 8, 8, 4, 1}。

技术分享图片
图8 一棵树

??(u, v)上的路径有哪些结点?首先计算出u、v的lca(u, v)(最近公共祖先),然后讨论两种情况:
??(1)lca(u, v) = u或lca(u, v) = v,即u在v的子树中,或者v在u的子树中。例如u = 1, v = 6,区间是{1, 2, 2, 3, 5, 5, 6},出现2次的结点{2, 5}不属于这条路径,因为它进来了又出去了。只出现一次的结点属于这条路径,即{1, 3, 6}。
??(2)lca(u, v) ≠ u且lca(u, v) ≠ v,即u和v都不在对方的子树上。此时u、v之间的路径需要通过它们的lca,但是lca没有出现在u和v的欧拉序区间内,需要添上。例如u = 5,v = 8,区间是{5, 6, 6, 7, 7, 3, 4, 8},去掉出现2次的结点{6, 7},剩下{5, 3, 4, 8},再加上它们的lca = 1,得路径{5, 3, 4, 8, 1}。再例如u = 5,v = 7,区间是{5, 6, 6, 7},去掉6,剩下{5, 7},再加上它们的lca = 3,得路径{5, 7, 3}。
2、本题的求解步骤
??(1)求树的欧拉序,得到一维数组;求任意两个点的lca。编码时用树链剖分(做两次DFS)求欧拉序和lca。
??(2)把题目的查询(u, v)看成一维数组上的查询。题目要求查询(u, v)内不同的颜色,首先查区间(u, v)内只出现1次的结点,并加上u、v的lca,得到路径上的所有结点,然后在这些结点中统计只出现1次的数字。
??(3)用莫队算法,离线处理所有的查询,然后一起输出。注意分块时,本题的规模是2n,因为每个结点在欧拉序中出现2次;另外每个结点的颜色数值很大,需要离散化。

莫队算法 --算法竞赛专题解析(26)

原文:https://www.cnblogs.com/luoyj/p/13643359.html

(0)
(0)
   
举报
评论 一句话评论(0
关于我们 - 联系我们 - 留言反馈 - 联系我们:wmxa8@hotmail.com
© 2014 bubuko.com 版权所有
打开技术之扣,分享程序人生!