线性回归(Linear regression)是利用回归方程(函数)对一个或多个自变量(特征值)和因变量(目标值)之间关系进行建模的一种分析方式。

线性回归当中的关系有两种,一种是线性关系,另一种是非线性关系。在这里我们只能画一个平面更好去理解,所以都用单个特征举例子。


如果在单特征与目标值的关系呈直线关系,或者两个特征与目标值呈现平面的关系

假设刚才的房子例子,真实的数据之间存在这样的关系
真实关系:真实房子价格 = 0.02×中心区域的距离 + 0.04×城市一氧化氮浓度 + (-0.12×自住房平均房价) + 0.254×城镇犯罪率
那么现在呢,我们随意指定一个关系(猜测)
随机指定关系:预测房子价格 = 0.25×中心区域的距离 + 0.14×城市一氧化氮浓度 + 0.42×自住房平均房价 + 0.34×城镇犯罪率
请问这样的话,会发生什么?真实结果与我们预测的结果之间是不是存在一定的误差呢?类似这样样子

那么存在这个误差,我们将这个误差给衡量出来
总损失定义为:

如何去减少这个损失,使我们预测的更加准确些?既然存在了这个损失,我们一直说机器学习有自动学习的功能,在线性回归这里更是能够体现。这里可以通过一些优化方法去优化(其实是数学当中的求导功能)回归的总损失!!!

理解:X为特征值矩阵,y为目标值矩阵。直接求到最好的结果
缺点:当特征过多过复杂时,求解速度太慢并且得不到结果

理解:α为学习速率,需要手动指定(超参数),α旁边的整体表示方向
沿着这个函数下降的方向找,最后就能找到山谷的最低点,然后更新W值
使用:面对训练数据规模十分庞大的任务 ,能够找到较好的结果
我们通过两个图更好理解梯度下降的过程


所以有了梯度下降这样一个优化算法,回归就有了"自动学习"的能力

数据介绍


回归当中的数据大小不一致,是否会导致结果影响较大。所以需要做标准化处理。同时我们对目标值也需要做标准化处理。
均方误差(Mean Squared Error)MSE)评价机制:

y^i为预测值,ˉy为真实值
sklearn.metrics.mean_squared_error(y_true, y_pred)
from sklearn.datasets import load_boston
from sklearn.model_selection import train_test_split
from sklearn.preprocessing import StandardScaler
from sklearn.linear_model import LinearRegression,SGDRegressor
from sklearn.metrics import mean_squared_error
def linear1():
"""
正规方程的优化方法对波士顿房价预测
"""
#获取数据
boston=load_boston()
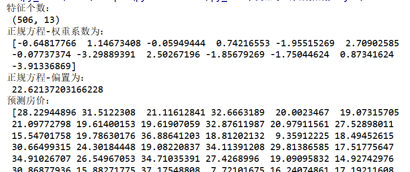
print("特征个数:\n",boston.data.shape)
#划分数据集
x_train,x_test,y_train,y_test=train_test_split(boston.data,boston.target,random_state=22)
#标准化
transfer=StandardScaler()
x_train=transfer.fit_transform(x_train)
x_test=transfer.transform(x_test)
#预估器
estimator=LinearRegression()
estimator.fit(x_train,y_train)
#得出模型
print("正规方程-权重系数为:\n",estimator.coef_)
print("正规方程-偏置为:\n",estimator.intercept_ )
#模型评估
y_predict=estimator.predict(x_test)
print("预测房价:\n",y_predict)
error=mean_squared_error(y_test,y_predict)
print("正规方程-均方差误差:\n",error)
return None
def linear2():
"""
梯度下降的优化方法对波士顿房价预测
"""
#获取数据
boston=load_boston()
#划分数据集
x_train,x_test,y_train,y_test=train_test_split(boston.data,boston.target,random_state=22)
#标准化
transfer=StandardScaler()
x_train=transfer.fit_transform(x_train)
x_test=transfer.transform(x_test)
#预估器
estimator=SGDRegressor()
estimator.fit(x_train,y_train)
#得出模型
print("梯度下降-权重系数为:\n",estimator.coef_)
print("梯度下降-偏置为:\n",estimator.intercept_ )
#模型评估
y_predict = estimator.predict(x_test)
print("预测房价:\n", y_predict)
error = mean_squared_error(y_test, y_predict)
print("梯度下降-均方差误差:\n", error)
return None
if __name__ == ‘__main__‘:
linear1()
linear2()
结果为:




原文:https://www.cnblogs.com/xiaofengzai/p/14304998.html