做什么事情最怕的就是没有迈出第一步,其实只要行动了就会发现事情并没有那么困难,难就难在不行动。
继续学习!
我们可以通过Scanner类来获取用户的输入,java.util.Scanner是Java5(JDK5)的新特征
基本语法:
Scanner s =new Scanner(System.in);
通过Scanner类的next()与nextLine()方法获取输入的字符串,在读取前我们一般需要使用hasNext()与hasNextLine()判断是否还有输入数据。
Scanner scanner = new Scanner(System.in);//创建一个扫描器对象,用于接收键盘数据
System.out.println("请输入数据");
if(scanner.hasNextLine()) { //判断用户有没有输入字符串
String str = scanner.nextLine();//用nextLine方式接收
System.out.println("输出结果为"+str);
}
scanner.close();//凡事属于IO流的类如果不关闭会一直占用资源,要养成好习惯用完就关掉
next():
nextLine():
判断语句
Scanner scanner = new Scanner(System.in);
int a = 0;
float b = 0.0f;
System.out.println("请输入整数:");
if(scanner.hasNextInt()){
a = scanner.nextInt();
System.out.println("整数数据:"+a);
}else{
System.out.println("输入的不是整数数据!");
}
System.out.println("请输入小数:");
if(scanner.hasNextFloat()){
b = scanner.nextFloat();
System.out.println("小数数据:"+b);
}else{
System.out.println("输入的不是小数数据!");
}
scanner.close();
循环语句:输入多个数字,并求其总和与平均值,每输入一个数字用回车确认,通过输入非数字来结束输入并输出结果:
Scanner scanner = new Scanner(System.in);
double sum = 0; //总和
int m = 0;//个数
//通过循环判断是否还有输入,并在里面对每一次进行求和和统计
while (scanner.hasNextDouble()){
double a = scanner.nextDouble();
sum=sum+a;
m=m+1;//m++
System.out.println("你输入了第"+m+"个数据,和为"+sum);
}
System.out.println("和为"+sum);
System.out.println("平均值为"+sum/m);
scanner.close();
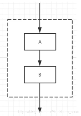
Java的基本结构就是顺序结构,除非特别指明,否则就按照顺序一句一句执行。
顺序结构是最简单的算法结构

语句与语句之间,框与框之间是按从上到下的顺序进行的,它是由若干个依次执行的处理步骤组成的,它是任何一个算法都离不开的一种基本算法结构
判断一个东西是否可行,然后才去执行,这样一个过程在程序中用if语句来表示
语法:
if(布尔表达式){
//如果布尔表达式为true将执行的语句
}

例子:
Scanner scanner =new Scanner(System.in);
String s = scanner.nextLine();
//equals:判断字符串是否相等
if (s.equals("Hello")){
System.out.println(s);//若输入Hello则输出Hello,否则跳过
}
System.out.println("End");
scanner.close();
语法:
if(布尔表达式){
//如果布尔表达式的值为true
}else{
//如果布尔表达式的值为false
}

例子:
Scanner scanner = new Scanner(System.in);
System.out.println("请输入成绩");
int score = scanner.nextInt();
if (score>=60){
System.out.println("及格");
}else {
System.out.println("不及格");
}
scanner.close();
语法:
if(布尔表达式1){
//如果布尔表达式1的值为true执行代码
}else if(布尔表达式2){
//如果布尔表达式2的值为true执行代码
}else if(布尔表达式3){
//如果布尔表达式3的值为true执行代码
}else {
//如果以上布尔表达式都不为true执行代码
}

例子:
Scanner scanner = new Scanner(System.in);
System.out.println("请输入成绩");
int score = scanner.nextInt();
if (score==100){
System.out.println("满分!");
}else if (score<100&&score>=90){
System.out.println("A");
}else if (score<90&&score>=80){
System.out.println("B");
}else if (score<80&&score>=70){
System.out.println("C");
}else if (score<70&&score>=60){
System.out.println("D");
}else if (score<60&&score>=0){
System.out.println("不及格");
}else {
System.out.println("成绩不合法");
}
scanner.close();
注意点:
可以在另一个if 或者else if 语句中使用if 或者else if 语句。
用我的个人理解就是,深入选择、缩小范围、二(三、四...)级辨析
语法:
if(布尔表达式1){
//如果布尔表达式1的值为true执行代码
if(布尔表达式2){
//如果布尔表达式2的值为true执行代码
}
}

思路大概是这样,但是表达出来就很麻烦,可能学到后面会有很优化的方法
多选择结构还有一个实现方式:switch case 语句
switch case 语句判断一个变量与一系列值中某个值是否相等,每个值称为一个分支。
switch语句中的变量类型可以是:
语法:
switch(expression){
case value:
//语句
break;//可选
case value:
//语句
break;//可选
//可以有任意数量的case语句
default://可选
//语句
}
例子:
case穿透 ,所以每写一个case要加一个break
switch 匹配一个具体的值
char grade = ‘A‘;
switch (grade){
case ‘A‘:
System.out.println("优秀");
break;//可选
case ‘B‘:
System.out.println("良好");
break;//可选
case ‘C‘:
System.out.println("中等");
break;//可选
case ‘D‘:
System.out.println("差");
break;//可选
default: //可选
System.out.println("未知等级");
反编译 java- - -class(字节码文件) - - -反编译(IDEA)
将class文件复制到java文件夹里,得到反编译之后的文件


培养看源码思维
原文:https://www.cnblogs.com/beckham-chen/p/14716426.html