地址 https://leetcode-cn.com/problems/partition-list/
给你一个链表的头节点 head 和一个特定值 x ,请你对链表进行分隔,
使得所有 小于 x 的节点都出现在 大于或等于 x 的节点之前。
你应当 保留 两个分区中每个节点的初始相对位置。
示例 1:

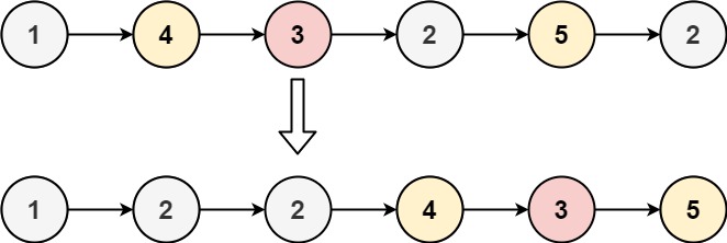
输入:head = [1,4,3,2,5,2], x = 3
输出:[1,2,2,4,3,5]
示例 2:
输入:head = [2,1], x = 2
输出:[1,2]
提示:
链表中节点的数目在范围 [0, 200] 内
-100 <= Node.val <= 100
-200 <= x <= 200
主要是考虑链表的操作,
开启两个链表
一个存储比target小的元素
一个存储大约等于target的元素
遍历原链表,将元素分别放入格子的链表。

class Solution {
public:
ListNode* partition(ListNode* head, int x) {
ListNode* small = new ListNode(0);
ListNode* smallHead = small;
ListNode* large = new ListNode(0);
ListNode* largeHead = large;
while (head != nullptr) {
if (head->val < x) {
small->next = head;
small = small->next;
} else {
large->next = head;
large = large->next;
}
head = head->next;
}
large->next = nullptr;
small->next = largeHead->next;
return smallHead->next;
}
};
原文:https://www.cnblogs.com/itdef/p/14773343.html