1. Seaborn简介

Seaborn是一个基于matplotlib且数据结构与Pandas统一的统计图制作库。
Seaborn库旨在以数据可视化为中心来挖掘并理解数据。
Seaborn提供的面向数据集制图函数主要是对行列索引和数组的操作,包含对整个数据集进行内部的语义映射与统计整合。
可以毫不夸张的说,你想象力能及的图表,Seaborn都能绘制!
2. 样例数据
本文所有的可视乎图表都是基于Seaborn自带的餐厅顾客消费数据集tips而绘制的。
tips数据集前两条数据如下:
| No | total_bill | tip | sex | smoker | day | time | size |
|---|---|---|---|---|---|---|---|
| 0 | 16.99 | 1.01 | Female | No | Sun | Dinner | 2 |
| 1 | 10.34 | 1.66 | Male | No | Sun | Dinner | 2 |
(total_bill:消费总金额,tip:小费金额,sex:性别,smoker:是否吸烟,day:消费日期,time:消费时段,size:聚餐人数)
3. Seaborn总览

关系图一般是用来表达双变量关系的图表。
| 函数 | 作用 |
|---|---|
| relplot(kind=‘line‘)/lineplot( ) | 绘制线形图,参数:data,x,y,hue |
| relplot(kind=‘scatter‘)/scatterplot( ) | 绘制散点图,参数:data,x,y,hue |
| 参数 | 含义 |
|---|---|
| data | pandas.DataFrame对象 |
| x | 绘图的x轴变量 |
| y | 绘图的y轴变量 |
| hue | 区分维度,一般为分类型变量 |
import numpy as np
import pandas as pd
import matplotlib.pyplot as plt
import seaborn as sns
sns.set(style=‘darkgrid‘)
tips = sns.load_dataset(‘tips‘)
sns.relplot(x=‘total_bill‘,y=‘tip‘,data=tips)
sns.relplot(x="total_bill", y="tip", hue="smoker", data=tips);
fmri = sns.load_dataset("fmri")
sns.relplot(x="timepoint", y="signal", kind="line", data=fmri);


对可分类的数据进行可视化;可以通过散点图、分布图、估计图等形式呈现分类图。
| 函数 | 作用 |
|---|---|
| catplot(kind=‘strop‘)/stripplot( ) | 分类散点图 |
| catplot(kind=‘swarm‘)/swarmplot( ) | 分类散点图 |
| catplot(kind=‘box‘)/boxplot( ) | 分类分布图 |
| catplot(kind=‘violin‘)/violinplot( ) | 分类分布图 |
| catplot(kind=‘boxen‘)/boxenplot( ) | 分类分布图 |
| catplot(kind=‘point‘)/pointplot( ) | 分类估计图 |
| catplot(kind=‘bar‘)/barplot( ) | 分类估计图 |
| catplot(kind=‘count‘)/countplot( ) | 分类估计图 |
import seaborn as sns
import matplotlib.pyplot as plt
sns.set(style=‘ticks‘,color_codes=True)
tips = sns.load_dataset(‘tips‘)
sns.catplot(x=‘day‘,y=‘total_bill‘,data=tips)
sns.catplot(x=‘day‘,y=‘total_bill‘,kind=‘swarm‘,data=tips)
sns.catplot(x=‘day‘,y=‘total_bill‘,kind=‘box‘,data=tips)
diamonds = sns.load_dataset(‘diamonds‘)
sns.catplot(x=‘color‘,y=‘price‘,kind=‘boxen‘,data=diamonds.sort_values(‘color‘))
sns.catplot(x="total_bill", y="day", hue="time",kind="violin", data=tips)
titanic = sns.load_dataset("titanic")
sns.catplot(x="sex", y="survived", hue="class", kind="point", data=titanic)
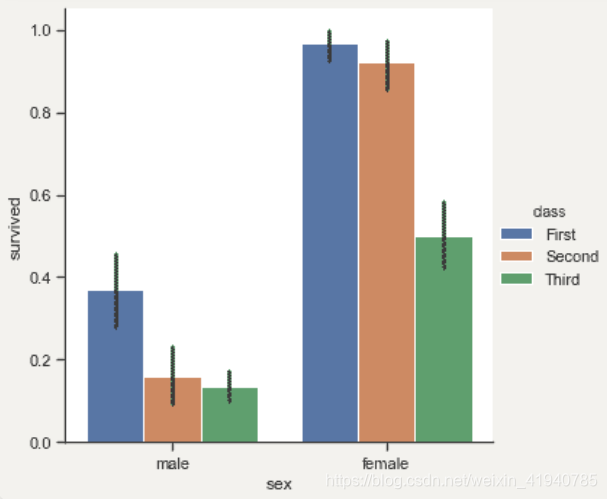
sns.catplot(x="sex", y="survived", hue="class", kind="bar", data=titanic)
sns.catplot(x="deck", kind="count", palette="ch:.25", data=titanic)







对数据进行回归,并绘制回归出函数。
| 函数 | 作用 |
|---|---|
| lmplot( ) | 绘制回归图 |
| regplot( ) | 绘制回归图 |
| residplot( ) | 绘制回归图 |
import numpy as np
import seaborn as sns
import matplotlib.pyplot as plt
sns.set(color_codes=True)
tips = sns.load_dataset("tips")
sns.lmplot(x="total_bill", y="tip", data=tips)
sns.residplot(x="x", y="y", data=anscombe.query("dataset == ‘II‘"),scatter_kws={"s": 80})
f, ax = plt.subplots(figsize=(5, 6))
sns.regplot(x="total_bill", y="tip", data=tips, ax=ax)



| 函数 | 作用 |
|---|---|
| distplot( ) | 单变量分布 |
| kdeplot( ) | 核密度估计 |
| pairplot( ) | 成对二元分布 |
| joinplot( )/joinplot(kind=‘hex‘)/joinplot(kind=‘reg‘) | 二元分布 |
import seaborn as sns
import matplotlib.pyplot as plt
from scipy import stats
sns.set(color_codes=True)
x = np.random.normal(size=100)
sns.distplot(x)
sns.kdeplot(x, shade=True)
mean, cov = [0, 1], [(1, .5), (.5, 1)]
data = np.random.multivariate_normal(mean, cov, 200)
df = pd.DataFrame(data, columns=["x", "y"])
sns.jointplot(x="x", y="y", data=df)
iris = sns.load_dataset("iris")
sns.pairplot(iris)




| 函数 | 作用 |
|---|---|
| heatmap( ) | 热力图 |
| clustermap( ) | 聚类矩阵图 |
import matplotlib.pyplot as plt
import seaborn as sns
import pandas as pd
sns.set_theme()
# Load the example flights dataset and convert to long-form
flights_long = sns.load_dataset("flights")
flights = flights_long.pivot("month", "year", "passengers")
# Draw a heatmap with the numeric values in each cell
f, ax = plt.subplots(figsize=(9, 6))
sns.heatmap(flights, annot=True, fmt="d", linewidths=.5, ax=ax)
sns.set_theme()
# Load the brain networks example dataset
df = sns.load_dataset("brain_networks", header=[0, 1, 2], index_col=0)
# Select a subset of the networks
used_networks = [1, 5, 6, 7, 8, 12, 13, 17]
used_columns = (df.columns.get_level_values("network")
.astype(int)
.isin(used_networks))
df = df.loc[:, used_columns]
# Create a categorical palette to identify the networks
network_pal = sns.husl_palette(8, s=.45)
network_lut = dict(zip(map(str, used_networks), network_pal))
# Convert the palette to vectors that will be drawn on the side of the matrix
networks = df.columns.get_level_values("network")
network_colors = pd.Series(networks, index=df.columns).map(network_lut)
# Draw the full plot
g = sns.clustermap(df.corr(), center=0, cmap="vlag",
row_colors=network_colors, col_colors=network_colors,
dendrogram_ratio=(.1, .2),
cbar_pos=(.02, .32, .03, .2),
linewidths=.75, figsize=(12, 13))
g.ax_row_dendrogram.remove()


以子图的形式绘制成对变量之间的关系。
| 函数 | 作用 |
|---|---|
| FacetGrid | 结构化多绘图 |
| PairGrid | 结构化多绘图 |
链接:Seaborn
原文:https://www.cnblogs.com/123ai-code/p/15030332.html