开始,首先下载数据ex4Data.zip
假设该数据集代表着一所高中学生中40名被大学录取,而另外40名没有被大学录取。
每一个训练样例(x(i),y(i))包含一个学生的两科标准考试成绩以及是否被录取的标签。
现在需要建立一个分类模型,要求根据学生的两科考试成绩,来判断学生被录取的概率。
画出数据:
x = load(‘ex4x.dat‘);
y = load(‘ex4y.dat‘);
[m, n] = size(x);
% 插入项。因为有一个参数是常数项
x = [ones(m, 1), x];
figure
pos = find(y); neg = find(y == 0);
plot(x(pos, 2), x(pos,3), ‘+‘)
hold on
plot(x(neg, 2), x(neg, 3), ‘o‘)
hold on
xlabel(‘Exam 1 score‘)
ylabel(‘Exam 2 score‘)

牛顿法
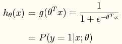
假设函数:

损失函数:

参数更新规则:
(t是迭代次数)
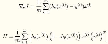
梯度和海森矩阵:

全部Matlab代码如下(参考NG的机器学习教程):
clear all; close all; clc x = load(‘ex4x.dat‘); y = load(‘ex4y.dat‘); [m, n] = size(x); % Add intercept term to x x = [ones(m, 1), x]; % Plot the training data % Use different markers for positives and negatives figure pos = find(y); neg = find(y == 0); plot(x(pos, 2), x(pos,3), ‘+‘) hold on plot(x(neg, 2), x(neg, 3), ‘o‘) hold on xlabel(‘Exam 1 score‘) ylabel(‘Exam 2 score‘) % Initialize fitting parameters theta = zeros(n+1, 1); % Define the sigmoid function g = inline(‘1.0 ./ (1.0 + exp(-z))‘); % Newton‘s method MAX_ITR = 7; J = zeros(MAX_ITR, 1); for i = 1:MAX_ITR % Calculate the hypothesis function z = x * theta; h = g(z); % Calculate gradient and hessian. % The formulas below are equivalent to the summation formulas % given in the lecture videos. grad = (1/m).*x‘ * (h-y); H = (1/m).*x‘ * diag(h) * diag(1-h) * x; % Calculate J (for testing convergence) J(i) =(1/m)*sum(-y.*log(h) - (1-y).*log(1-h)); theta = theta - H\grad; end % Display theta theta % Calculate the probability that a student with % Score 20 on exam 1 and score 80 on exam 2 % will not be admitted prob = 1 - g([1, 20, 80]*theta) % Plot Newton‘s method result % Only need 2 points to define a line, so choose two endpoints plot_x = [min(x(:,2))-2, max(x(:,2))+2]; % Calculate the decision boundary line plot_y = (-1./theta(3)).*(theta(2).*plot_x +theta(1)); plot(plot_x, plot_y) legend(‘Admitted‘, ‘Not admitted‘, ‘Decision Boundary‘) hold off % Plot J figure plot(0:MAX_ITR-1, J, ‘o--‘, ‘MarkerFaceColor‘, ‘r‘, ‘MarkerSize‘, 8) xlabel(‘Iteration‘); ylabel(‘J‘) % Display J J


原文:http://www.cnblogs.com/90zeng/p/logistic_regression_newton.html