首页 > 编程语言 > 详细

K-means聚类算法

时间:2014-10-19 19:49:18      阅读:342      评论:0      收藏:0      [点我收藏+]

 

     转自 JerryLead 的博客

     K-means也是聚类算法中最简单的一种了,但是里面包含的思想却是不一般。最早我使用并实现这个算法是在学习韩爷爷那本数据挖掘的书中,那本书比较注重应用。看了Andrew Ng的这个讲义后才有些明白K-means后面包含的EM思想。

     聚类属于无监督学习,以往的回归、朴素贝叶斯、SVM等都是有类别标签y的,也就是说样例中已经给出了样例的分类。而聚类的样本中却没有给定y,只有特征x,比如假设宇宙中的星星可以表示成三维空间中的点集bubuko.com,布布扣。聚类的目的是找到每个样本x潜在的类别y,并将同类别y的样本x放在一起。比如上面的星星,聚类后结果是一个个星团,星团里面的点相互距离比较近,星团间的星星距离就比较远了。

     在聚类问题中,给我们的训练样本是bubuko.com,布布扣,每个bubuko.com,布布扣,没有了y。

     K-means算法是将样本聚类成k个簇(cluster),具体算法描述如下:

1、 随机选取k个聚类质心点(cluster centroids)为bubuko.com,布布扣

2、 重复下面过程直到收敛 {

               对于每一个样例i,计算其应该属于的类

               bubuko.com,布布扣

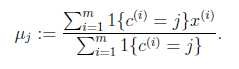
               对于每一个类j,重新计算该类的质心

               bubuko.com,布布扣

}

     K是我们事先给定的聚类数,bubuko.com,布布扣代表样例i与k个类中距离最近的那个类,bubuko.com,布布扣的值是1到k中的一个。质心bubuko.com,布布扣代表我们对属于同一个类的样本中心点的猜测,拿星团模型来解释就是要将所有的星星聚成k个星团,首先随机选取k个宇宙中的点(或者k个星星)作为k个星团的质心,然后第一步对于每一个星星计算其到k个质心中每一个的距离,然后选取距离最近的那个星团作为bubuko.com,布布扣,这样经过第一步每一个星星都有了所属的星团;第二步对于每一个星团,重新计算它的质心bubuko.com,布布扣(对里面所有的星星坐标求平均)。重复迭代第一步和第二步直到质心不变或者变化很小。

     下图展示了对n个样本点进行K-means聚类的效果,这里k取2。

     bubuko.com,布布扣

     K-means面对的第一个问题是如何保证收敛,前面的算法中强调结束条件就是收敛,可以证明的是K-means完全可以保证收敛性。下面我们定性的描述一下收敛性,我们定义畸变函数(distortion function)如下:

     bubuko.com,布布扣

     J函数表示每个样本点到其质心的距离平方和。K-means是要将J调整到最小。假设当前J没有达到最小值,那么首先可以固定每个类的质心bubuko.com,布布扣,调整每个样例的所属的类别bubuko.com,布布扣来让J函数减少,同样,固定bubuko.com,布布扣,调整每个类的质心bubuko.com,布布扣也可以使J减小。这两个过程就是内循环中使J单调递减的过程。当J递减到最小时,bubuko.com,布布扣和c也同时收敛。(在理论上,可以有多组不同的bubuko.com,布布扣和c值能够使得J取得最小值,但这种现象实际上很少见)。

     由于畸变函数J是非凸函数,意味着我们不能保证取得的最小值是全局最小值,也就是说k-means对质心初始位置的选取比较感冒,但一般情况下k- means达到的局部最优已经满足需求。但如果你怕陷入局部最优,那么可以选取不同的初始值跑多遍k-means,然后取其中最小的J对应的bubuko.com,布布扣和c输出。

     下面累述一下K-means与EM的关系,首先回到初始问题,我们目的是将样本分成k个类,其实说白了就是求每个样例x的隐含类别y,然后利用隐含类别将 x归类。由于我们事先不知道类别y,那么我们首先可以对每个样例假定一个y吧,但是怎么知道假定的对不对呢?怎么评价假定的好不好呢?我们使用样本的极大 似然估计来度量,这里是就是x和y的联合分布P(x,y)了。如果找到的y能够使P(x,y)最大,那么我们找到的y就是样例x的最佳类别了,x顺手就聚 类了。但是我们第一次指定的y不一定会让P(x,y)最大,而且P(x,y)还依赖于其他未知参数,当然在给定y的情况下,我们可以调整其他参数让 P(x,y)最大。但是调整完参数后,我们发现有更好的y可以指定,那么我们重新指定y,然后再计算P(x,y)最大时的参数,反复迭代直至没有更好的y 可以指定。

     这个过程有几个难点,第一怎么假定y?是每个样例硬指派一个y还是不同的y有不同的概率,概率如何度量。第二如何估计P(x,y),P(x,y)还可能依赖很多其他参数,如何调整里面的参数让P(x,y)最大。这些问题在以后的篇章里回答。

     这里只是指出EM的思想,E步就是估计隐含类别y的期望值,M步调整其他参数使得在给定类别y的情况下,极大似然估计P(x,y)能够达到极大值。然后在其他参数确定的情况下,重新估计y,周而复始,直至收敛。

     上面的阐述有点费解,对应于K-means来说就是我们一开始不知道每个样例bubuko.com,布布扣对应隐含变量也就是最佳类别bubuko.com,布布扣。最开始可以随便指定一个bubuko.com,布布扣给它,然后为了让P(x,y)最大(这里是要让J最小),我们求出在给定c情况下,J最小时的bubuko.com,布布扣(前面提到的其他未知参数),然而此时发现,可以有更好的bubuko.com,布布扣(质心与样例bubuko.com,布布扣距离最小的类别)指定给样例bubuko.com,布布扣,那么bubuko.com,布布扣得到重新调整,上述过程就开始重复了,直到没有更好的bubuko.com,布布扣指定。这样从K-means里我们可以看出它其实就是EM的体现,E步是确定隐含类别变量bubuko.com,布布扣,M步更新其他参数bubuko.com,布布扣来 使J最小化。这里的隐含类别变量指定方法比较特殊,属于硬指定,从k个类别中硬选出一个给样例,而不是对每个类别赋予不同的概率。总体思想还是一个迭代优 化过程,有目标函数,也有参数变量,只是多了个隐含变量,确定其他参数估计隐含变量,再确定隐含变量估计其他参数,直至目标函数最优。

K-means聚类算法

原文:http://www.cnblogs.com/souxun2014/p/4035317.html

(0)
(0)
   
举报
评论 一句话评论(0
关于我们 - 联系我们 - 留言反馈 - 联系我们:wmxa8@hotmail.com
© 2014 bubuko.com 版权所有
打开技术之扣,分享程序人生!