首页 > 其他 > 详细

机器学习浅析之最优解问题(二)

时间:2014-11-10 13:29:01      阅读:400      评论:0      收藏:0      [点我收藏+]

本文主要讨论了机器学习中的最大似然估计MLE,贝叶斯估计和最大后验估计MAP,以及它们的关系,是上一篇《机器学习浅析之最优解问题》的深入。

最大似然估计MLE

Frequentist Learning假定存在模型M,其中未知参数为.该参数的估计值为. 给定样本观察数据X,通过选择合适的θ值,可以使产生该样本数据X的概率最大。

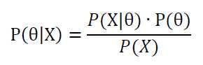
首先介绍逆概率公式:

bubuko.com,布布扣

bubuko.com,布布扣

它可以将后验概率转化为给予先验概率和似然函数的表达式,所以最大似然估计MLE就是要用似然函数取得最大值时的参数值作为估计值。

MLE的过程如下:

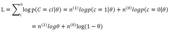
首先,写出样本观察数据的联合分布的表达式:

bubuko.com,布布扣

其次,取对数可得:

bubuko.com,布布扣

最后,这是一个关于θ的函数,求导可得极值点,取最大值时对应的θ取值就是合适的模型参数。

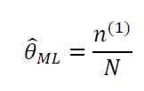
以抛硬币为例,单次试验服从伯努利分布,N次试验服从二项分布,模型参数为θ,即每次得到正面的概率为θ。为了估计该参数,采用最大似然估计:

似然函数的对数为:

bubuko.com,布布扣

求导可得

bubuko.com,布布扣

最大似然估计中,参数θ是一个固定的值,只要能够拟合样本数据就可以了。但是当样本过少的时候就容易出现过拟合现象,会得到诸如只要没见过飞机相撞,飞机就一定不会相撞的扭曲事实。

?

最大后验估计MAP

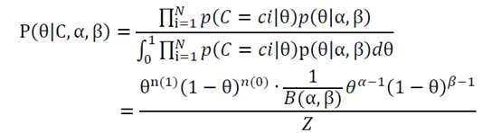
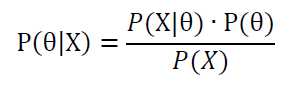
最大后验估计与最大似然估计相似,不同点在于需要考虑先验概率p(θ)。也就是说,此时不是要去求似然函数取得最大值,而是要去求贝叶斯公式计算出的整个后验概率最大值时的θ。

bubuko.com,布布扣

这里的P(X)与θ无关,因此等价于使分子最大即可。

bubuko.com,布布扣

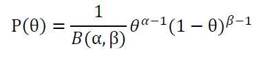
此处的先验概率p(θ)可以用来描述人们已知的普遍规律,例如在扔硬币试验中,每次抛出正面的概率θ应该服从一个概率分布,且在θ=0.5时取得最大值。该分布就是先验分布,其参数称为超参数。即p(θ)=p(θ|α)

同理,上述后验概率取得最大值时,可得MAP估计出的参数值。

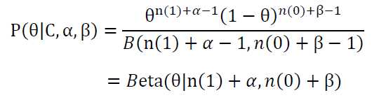
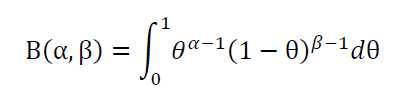
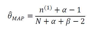
仍以抛硬币为例,假设硬币均匀,先验概率分布在θ=0.5时取得最大值。选用beta分布作为θ的分布,即θ~Beta(α,β),当α,β=5时,p(θ=0.5),由上面公式推导可得:

bubuko.com,布布扣

其中

bubuko.com,布布扣

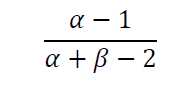
求导可得参数θ的最大估计值

bubuko.com,布布扣

从中我们可以看出先验概率的作用为

bubuko.com,布布扣

例如,当我们做商品个性化推荐的时候,当无法获得用户个人喜好的时候,只好根据先验概率推荐大众热门的商品给他。

贝叶斯估计Bayesian learning

贝叶斯估计是在MAP上的进一步扩展,此时不再是直接估计参数值,而是允许参数服从一定的分布。所以现在不是要求后验概率最大时的参数值。

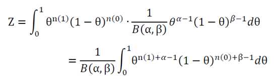
根据

bubuko.com,布布扣

其中,根据全概率公式:

bubuko.com,布布扣

当新的数据被观察到时,后验概率可以随之调整。

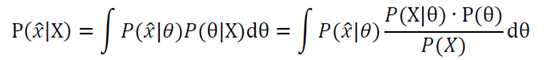
预测方法如下:

bubuko.com,布布扣

以抛硬币为例,和MAP中一样,假设先验分布为beta分布,但是在构造贝叶斯估计的时候,不是要用最大后验概率时的参数来近似作为参数值,而是求满足beta分布的参数的期望。

bubuko.com,布布扣

因为在Beta分布中

bubuko.com,布布扣

所以

bubuko.com,布布扣

于是可得

bubuko.com,布布扣

根据结果可知,根据贝叶斯估计,参数θ服从一个新的beta分布。

在MAP中,我们为θ选取的先验分布为beta分布,后来以θ参数的二项分布用贝叶斯估计得到的θ的后验概率仍服从beta分布,由此可知二项分布与beta分布为共轭分布。

当随机变量取值为二维时,可以使用beta分布来处理,而多维时可以使用狄利克雷分布。在概率语言模型中,通常选取共轭分布为先验分布,从而带来计算的方便性。LDA中每个文档的topic服从多项式分布,其先验分布选取狄利克雷分布。

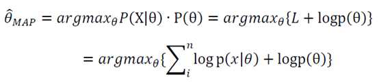
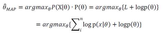
由于在贝叶斯估计中,参数的后验概率是比较难以计算的,因为要对所有的参数进行积分,而且,这个积分其实就是所有θ的后验概率的汇总,其实它是与最优θ是无关的,而我们只关心最优θ(p(x)相同)。在这种情况下,我们采用了一种近似的方法求后验概率,这就是最大后验估计:

bubuko.com,布布扣

最大后验估计相比最大似然估计,只是多了一项先验概率,它正好体现了贝叶斯认为参数也是随机变量的观点,在实际运算中通常通过超参数给出先验分布。最大似然估计其实是经验风险最小化的一个例子,而最大后验估计是结构风险最小化的一个例子。如果样本数据足够大,最大后验概率和最大似然估计趋向于一致,如果样本数据为0,最大后验就仅由先验概率决定。尽管最大后验估计看着要比最大似然估计完善,但是由于最大似然估计简单,很多方法还是使用最大似然估计。

机器学习浅析之最优解问题(二)

原文:http://www.cnblogs.com/cqumonk/p/4086812.html

(0)
(0)
   
举报
评论 一句话评论(0
关于我们 - 联系我们 - 留言反馈 - 联系我们:wmxa8@hotmail.com
© 2014 bubuko.com 版权所有
打开技术之扣,分享程序人生!