首页 > 其他 > 详细

(原创)程控增益电路和程控衰减电路(电路,数模)

时间:2014-11-20 15:07:15      阅读:283      评论:0      收藏:0      [点我收藏+]

1.Abstract

    设想一下,要是能用数码控制的方式控制模拟信号输出的幅度,信号输出的增益能得到调节,这样的话,就可以使用数字逻辑来控制模拟信号幅度了,这样数字信号和模拟信号就可以打交道了。模拟信号和数字信号的转换常有两种,模数转换(ADC或者A/D转换)和数模转换(DAC或者D/A转换)。这里的程控增益控制电路和程控衰减电路也是基于数模转换,之所以用增益和衰减,是根据比例系数来说的,若信号输出比大于1,则说明是在放大信号,也就是幅值在增长,所以用增益更确切;反过来,若信号输出比小于1,则说明是在缩小信号,也就是幅值在减小,用衰减更确切。本质上是一样的,两种说法不同而已了。下面具体来看看怎么实现。

2.Content

  2.1 基本模型

    程控电路的基本模型是由运算放大器组成,根据运放虚短和虚断的特点来构成比例放大电路。先看一个一般的放大电路。

bubuko.com,布布扣 FIG2.1 一般比例放大电路模型

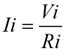
    很容易理解,运放管的5脚和6脚电平相同,为低电平,那么输入电流为bubuko.com,布布扣     箭头方向标明了电流方向。再看输出电流

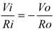
bubuko.com,布布扣     箭头方向表明了电流方向,输入电流与输出电流幅值是相等的,若以运放6脚为参考点,等式加入参考方向以后,有

bubuko.com,布布扣    电路的输出输入的电压比例系数就可以算出来了,

bubuko.com,布布扣    电路的电压比例系数就可以转换成由电阻来确定了。值得注意的是,输出的电压是负值,也就是要求运放是双电源供电的;若是采用单电源供电的运放,只需将5脚6脚的位置换一换,改成上正下负的就可以了,切记的是放大的幅度不要超过运放的供电电压(运放是不能稳定输出一个比供电电压还要大的信号);不过,在双电源情况将负值信号搬回到正值区间也比较容易,再用一个反向比例放大电路就可以了,这个比较实用,将图画一画。

bubuko.com,布布扣 FIG2.2放大信号反向

    跟第一个电路一样,有反向和放大的功能,输出输入的电压幅值比取决于R4和R3,要是只做反向功能的话,选取R4的阻值等于R3的阻值就可以了。

    电压比例系数的模拟电路模型就分析完成了,延伸一下,过度到主题上去。

    由上述的分析,电压比例系数可以转到输出电阻Ro和输入电阻Ri的阻值上去,改变电压比例系数,通常的做法是固定一个电阻,然后将另外一个电阻设置为可调的。至于固定哪一个电阻,这个根据实际情况吧,为了与后文衔接,固定Ro比较合适。固定Ro后,电压比例系数就与Ri成反向比例关系了。程控比例电路采用这种原理,通过数字信号的转换的阻值(归根结底应该是算电流,不过对电流的控制是电阻,所以也可以用电阻值来衡量),实现电压比例系数的变化;如何用数字信号来改变电阻,这就不得不提到电流型数模转换装置的原理了。

借用别人的一张图(自己画不一定有别人好,最好的办法就是合理借用别人的成果),图片摘自电子工程世界网:http://www.elecfans.com/article/88/171/2009/2009033040169.html

bubuko.com,布布扣 FIG2.3 倒T型电阻网路D/A转换器

    整个电路是转换器的整个部分,右边是一个运放,暂先不关注,最重要是看看左边这个经典的倒T网络。电路设计的很巧妙,每一个垂直的电阻阻值为2R,而水平的电阻阻值为R。从电路右端看进去,每一个节点上的电阻均为R,故每一个支路的电流就特别有规律。若S3合上,则S3上支路的电流是总电流的1/2;若S2合上,则S2支路上的电流时总电流的1/4,依次类推。用数学式子准确表达一下,就是

bubuko.com,布布扣    等效电阻为

bubuko.com,布布扣  

     将电流转换成电压和电阻来表示,将左边的式子当做成R的一个系数,很明显可以看出通过改变数字量就可以改变电阻值,换句话说,电阻值可以被数字量量化。有了这个电路结构,控制电路的输出输入比例系数就有可能了,剩下的就是一些电阻值和电路结构的确定。

    经过上述的分析,就是要利用这个倒T型电阻网络搭建电路了,控制电路的输出输入比系数情况有两种情况,一种是比例系数小于1,也就是输出信号比输入信号要小,是在将信号缩小,这称为衰减;一种是比例系数大于1,也就是输出信号比输入信号要大,将信号进行放大,这称为增益。下面进行分别讨论和搭建具体电路

  2.2 程控衰减电路

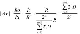
    程控衰减就是用数字信号控制输出输入的比例系数小于1,即 |Av| <1。由

bubuko.com,布布扣

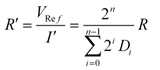
可知道,要使|Av| <1,若固定的电阻值与T型电阻网络的阻值一样为R,那么T型结构的电阻应该在右端式子的分母上,推导如下式。

bubuko.com,布布扣    采用8位T型结构电阻构成的电路应为下图所示。

bubuko.com,布布扣 FIG2.4 程控衰减电路

    AD7533内部有一个反馈电阻引出端,阻值与倒T型电阻值一样,故很方便连接。反馈电阻端与运放输出端相连,参考电压端作为输出信号。若要将信号翻转到正值,可以参考FIG2.2电路。值得说明一点的是最大的Vi的取值应该在-VEE以内,否则会对衰减倍数有一定影响。

  2.3 程控增益电路

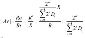
    程控增益就是用数字信号控制输出输入的比例系数大于1,即 |Av| >1。由

bubuko.com,布布扣

可知,要使|Av| <1,若固定的电阻值与T型电阻网络的阻值一样为R,那么T型结构的电阻应该在右端式子的分母上,推导如下式。

bubuko.com,布布扣     采用8位T型结构电阻构成的电路应为下图所示。

bubuko.com,布布扣 FIG2.5 程控增益电路

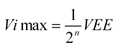
    反馈电阻输出端作为输入信号,电压参考端与运放输出端相连作为输入信号。值得注意的是输入信号的Vi最大增益幅值 Vomax 应该在-VEE以内,也就是

bubuko.com,布布扣 否则会对增益的正确度有一定影响。

    稍微补充一下,现在许多微控制芯片和模数转换芯片都将左半部分的电路集成在芯片内部,留出引线口,就是为了灵活搭建不同的数控电路,以适用于不同的场合。了解其原理以后,还可以搭建其他更多用数字信号控制的电路。

3.Conclusion

    用数字逻辑和模拟信号打交道是很常见的,最为关键的是要了解其原理,然后搭建相应的电路构成有特定功能的电路,除了最为典型的应用以外,还可以尝试看看还有哪些其他的功能,可以发散一下思维逻辑。本文给出了两个典型的例子,做了很系统化的分析,尤其是理论分析方面。不足之处就是没有通过实际的验证,也是限于现在的条件,以后做实验了也将验证部分加入进来,将其写的完整一些。

4.Reference

[1] 电子技术基础 数字部分(第五版)  康华光

[2] 模拟电子技术基础(第四版) 童诗白 华成英

[3] 数字电子技术基础(第五版) 阎石

5.Platform

1. NI Multisim 12.0 Internal Edition

2. MathType V6.8

3. OrCAD Capture CIS V16.3

(原创)程控增益电路和程控衰减电路(电路,数模)

原文:http://www.cnblogs.com/hechengfei/p/4110508.html

(0)
(0)
   
举报
评论 一句话评论(0
关于我们 - 联系我们 - 留言反馈 - 联系我们:wmxa8@hotmail.com
© 2014 bubuko.com 版权所有
打开技术之扣,分享程序人生!