本文就高斯混合模型(GMM,Gaussian Mixture Model)参数如何确立这个问题,详细讲解期望最大化(EM,Expectation Maximization)算法的实施过程。
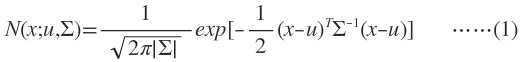
多维变量X服从高斯分布时,它的概率密度函数PDF为:

x是维度为d的列向量,u是模型期望,Σ是模型方差。在实际应用中u通常用样本均值来代替,Σ通常用样本方差来代替。很容易判断一个样x本是否属于类别C。因为每个类别都有自己的u和Σ,把x代入(1)式,当概率大于一定阈值时我们就认为x属于C类。
从几何上讲,单高斯分布模型在二维空间应该近似于椭圆,在三维空间上近似于椭球。遗憾的是在很多分类问题中,属于同一类别的样本点并不满足“椭圆”分布的特性。这就引入了高斯混合模型。
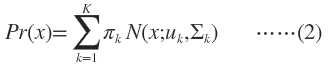
GMM认为数据是从几个GSM中生成出来的,即

K需要事先确定好,就像K-means中的K一样。πk是权值因子。其中的任意一个高斯分布N(x;uk,Σk)叫作这个模型的一个component。这里有个问题,为什么我们要假设数据是由若干个高斯分布组合而成的,而不假设是其他分布呢?实际上不管是什么分布,只K取得足够大,这个XX Mixture Model就会变得足够复杂,就可以用来逼近任意连续的概率密度分布。只是因为高斯函数具有良好的计算性能,所GMM被广泛地应用。
GMM是一种聚类算法,每个component就是一个聚类中心。即在只有样本点,不知道样本分类(含有隐含变量)的情况下,计算出模型参数(π,u和Σ)----这显然可以用EM算法来求解。再用训练好的模型去差别样本所属的分类,方法是:step1随机选择K个component中的一个(被选中的概率是πk);step2把样本代入刚选好的component,判断是否属于这个类别,如果不属于则回到step1。
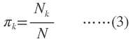
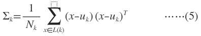
当每个样本所属分类已知时,GMM的参数非常好确定,直接利用Maximum Likelihood。设样本容量为N,属于K个分类的样本数量分别是N1,N2,...,Nk,属于第k个分类的样本集合是L(k)。



有N个数据点,服从某种分布Pr(x;θ),我们想找到一组参数θ,使得生成这些数据点的概率最大,这个概率就是

称为似然函数(Lilelihood Function)。通常单个点的概率很小,连乘之后数据会更小,容易造成浮点数下溢,所以一般取其对数,变成

称为log-likelihood function。
GMM的log-likelihood function就是:

这里每个样本xi所属的类别zk是不知道的。Z是隐含变量。
我们就是要找到最佳的模型参数,使得(6)式所示的期望最大,“期望最大化算法”名字由此而来。
EM要求解的问题一般形式是
Y是隐含变量。
我们已经知道如果数据点的分类标签Y是已知的,那么求解模型参数直接利用Maximum Likelihood就可以了。EM算法的基本思路是:随机初始化一组参数θ(0),根据后验概率Pr(Y|X;θ)来更新Y的期望E(Y),然后用E(Y)代替Y求出新的模型参数θ(1)。如此迭代直到θ趋于稳定。
E-Step E就是Expectation的意思,就是假设模型参数已知的情况下求隐含变量Z分别取z1,z2,...的期望,亦即Z分别取z1,z2,...的概率。在GMM中就是求数据点由各个 component生成的概率。

注意到我们在Z的后验概率前面乘以了一个权值因子αk,它表示在训练集中数据点属于类别zk的频率,在GMM中它就是πk。





相同点:都是可用于聚类的算法;都需要指定K值。
不同点:GMM可以给出一个样本属于某类的概率是多少。
参考:http://www.cnblogs.com/zhangchaoyang
原文:http://www.cnblogs.com/zhanjxcom/p/4126011.html