这篇论文是关于聚类集成的,成熟的聚类集成框架是将多个聚类算法的结果汇聚在一起,然后使用一致性函数得出最终的聚类结果,论文中认为这两步中间的操作属于原数据上的操作,比较粗糙,所以提出了一种算法,对汇总后聚类结果进行进一步处理,然后再使用一致性函数。
- This paper presents a new link-based approach to improve the conventional matrix.
- Three new link-based algorithms are proposed for the underlying similarity assessment.
- The final clustering result is generated from the refined matrix using two different consensus functions of feature-based and graph-based partitioning.
conventional matrix 就是前言中提到的汇总结果。
这个算法目的是发现一个样本在一个聚类结果中与不属于的类 之间的关系(similarity)。
提炼后的矩阵称为RA matrix ,在这个矩阵上进行一致性曹组有两种方法,基于feature 和基于图切。
对汇总矩阵的提炼的方法一共有三种。
It aims to refine the ensemble-information matrix using the similarity between clusters in the ensemble under examination.
?Weighted Connected-Triple (WCT)
?Weighted Triple-Quality (WTQ)
?Combined Similarity Measure (CSM)
一致性函数有两种:
two new consensus methods are proposed to derive the ultimate clustering result:
? feature-based partitioning (FBP)
? bipartite graph partitioning (BGP)
下面是一些属性讲解,其实看图比较清楚,一共有N 个样本点,聚类集成框架中使用了M 个聚类方法,得到的结果为π,每个聚类结果π的类个数不一样,使用C 表示:
X ={x1 . . . xN} be a set of N data points
Π={Π 1 . . . ΠM} be a cluster ensemble with M base clusterings
Each base clustering returns a set of clusters

a 图是样本的两个聚类情况,π1 π2 ,那么可以有3中结果汇众的表达b-d,后面用得上的是d 图,d图这个矩阵就是作者认为的粗糙聚类结果。
N = 5 样本总数
M = 2 集成框架中的聚类方法个数
K1 = 3,K2 = 2 每个聚类方法中的聚类个数
一个聚类集成问题:
The problem is to find a new partition π* of a data set X that summarizes the information from the cluster ensemble πfinal.
This metalevel method involves two major tasks of:
?1) generating a cluster ensemble
?2) producing the final partition (normally referred to as a “consensus function”).
为了获取不同的聚类结果,大致归纳如下的聚类模型:
Cluster models:
?Homogeneous ensembles
?Different-k
?One of the most successful technique is randomly selecting the number of clusters (k) for each ensemble member
?Data subspace/subsample
?Heterogeneous ensembles
?Mixed heuristics
? In addition to using one of the aforementioned methods, any combination of them can be applied
而一致性函数归纳如下:
}consensus methods :
?Feature-based approach
It transforms the problem of cluster ensembles to the clustering of categorical data.
?Direct approach
?Pairwise similarity approach
?Graph-based approach
论文的创新点就是在这两部中间加入了一步提炼:
NOVEL LINK-BASED APPROACH:
?1) generating a cluster ensemble
?2)creating the refined ensemble-information matrix using a link-based similarity algorithm
?3) producing the final partition (normally referred to as a “consensus function”).

计算RA 矩阵公式,在粗糙矩阵下我们可以先知道如下结果,RA 其实就是将d 图中的0,改为 xi 与 C 的相似度,这就是提炼的意思,方法是通关过计算xi属于的类与目标C 的相似度,然后用这个值作为xi 与目标C 的相似度,这就代替了0.
这个算法计算前需要先计算π1 与 π2 中类之间的相似度,是两个π之间,π内之间的类相似度怎么算就是这个算法解决的问题。
Lz ∈ X denotes the set of data points belonging to cluster Cz ∈ π.
公式如下:
图示:
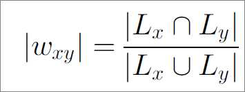
C11 类有样本: x1 x2 C21 类有样本: x1 x3
<C11,C21> = {x1}/{x1 x2 x3} = 1/3
在上面的基础上,开始讲解这个算法,算法有3中计算一个聚类中 类间的similary:
Weighted Connected-Triple (WCT):
?WCT extends the Connected-Triple method.
?Formally, a triple, Triple =(Vtriple ,Etriple), is a subgraph of G’ containing three vertices VTriple ={vx,vy,vz} ∈V and two edges ETriple ={exz,eyz} ∈E, with exz ∉ E.
?DC ∈[0,1]is a constant decay factor
第一条就是 计算xy点关于z 点得到他们之间的similary,xy 是属于一个聚类类结果的类标号,z 是其他聚类结果的类标号。
第二条就是第一条结果的叠加。
第三条就是正规化后加上约束因子,因为RA-matrix 直接知道的结果为1,计算similarity 的应该小一点。
图示,这就把RA 矩阵补全了,例如x3 与C11 的项取值,就是Xz 属于的类(C12)与 C11 之间的similarity,即0.9
}Weighted Triple-Quality (WTQ)
?WTQ is inspired by the initial measure of which evaluates the association between personal home pages.
?Note that the method gives high weights to rare features and low weights to features that are common to most of the pages.
Nz ∈V denotes the set of vertices that is directly linked to the vertex vz such that ∨vt ∈Nz; |wzt| > 0.
第一条就是 xy 关于 z 的权重,该式分母其实就是与z 有相关的w 之和。
其他跟上面的一样的。
Combined Similarity Measure (CSM):
With the objective of obtaining a robust similarity evaluation, this particular algorithm combines the WCT and WTQ measures previously described.
将上面两种方法结合成第三种。
一致性方法的选择:
Consensus Methods for the RA Matrix:
?Feature-Based Partitioning
?k-means (KM)
?k-medoids (PAM)
?
?Bipartite Graph Partitioning
? weight SPEC graph-partitioning
实验结果就不说了,有兴趣的可以下论文能看。