1、首先假设有一个树如下:

2、双亲表示法
我们假设以一组连续空间存储树的结点,在每个结点中,附设一个指示器指示其双亲结点到链表中的位置。这样,每个结点除了知道自己是谁以外,还知道他们的双亲在那里。
如下图所示:
| data | parent |
由于这种存储结构不能有效的寻找其兄弟结点,我们队这种存储解雇进行修改,插入其第一个第一个孩子firstchild的下标,rightsibling(-1表示没有)的下标,变成
| 下标 | data | parent | firstchild | rightsibling |
| 0 | A | -1 | -1 | -1 |
| 1 | B | 0 | 3 | 2 |
| 2 | C | 0 | 4 | -1 |
| 3 | D | 1 | 6 | -1 |
| 4 | E | 2 | 9 | 5 |
| 5 | F | 2 | -1 | -1 |
| 6 | G | 3 | -1 | 7 |
| 7 | H | 3 | -1 | 8 |
| 8 | I | 3 | -1 | -1 |
| 9 | J | 4 | -1 | -1 |
代码如下:
//双亲表示法
#define MAX_TREE_NUM 100 //定义树的最大结点数目
typedef char ElemType; //定义结点中的数据类型
typedef struct PTNode
{
int parent; //每个结点的双亲所在位置的下标
ElemType data; //每个结点中存放的数据
int firstchild; //从左边开始数,这个结点第一个孩子的位置(下标)
int rightsibling; //从左边开始数,这个结点右边的那个兄弟的下标
}PTNode;
typedef struct PTree
{
PTNode data[MAX_TREE_NUM]; //树的结点数组
int r; //根节点的位置(下标)
int n; //当前树中结点数目
}PTree;
3、孩子双亲表示法

代码如下:
typedef struct CNode //定义孩子结点,以链表的形式存储孩子和孩子的下标
{
int child; //孩子的下标
CNode *next; //如果存在不止一个孩子,则next用来存放指向下一个孩子的指针,否则为空
}CNode;
typedef struct PNode //定义双亲结点
{
int parent; //双亲结点的下标
struct CNode *firstchild; //指向第一个孩子结点的指针
ElemType data; //双亲结点中存放的数据
}PNode;
typedef struct PCTree //定义一个双亲-孩子存储结构表示的树结构
{
struct PNode nodes[MAX_TREE_NUM]; //定义一个含有MAX_TREE_NUM个结点的树
int c; //根结点
int n; //当前树中结点数目
}
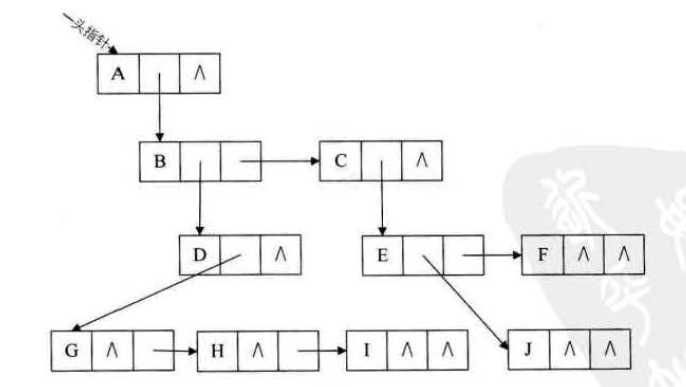
4、孩子兄弟表示法

代码如下:
//孩子兄弟表示法
typedef struct PNode //定义一个孩子-兄弟存储结构表示树
{
ElemType data; //结点中存放的数据
PNode *firstchild; //指向从左边起,第一个孩子结点,没有孩子的结点指向NULL
PNode *rightsibling; //指向第一个孩子的右边的一个兄弟结点的指针,如果含有多个兄弟结点,依次指过去(类似单链表)
}PNode;
原文:http://www.cnblogs.com/devinblog/p/4169593.html