题意:
这两个题是同一道题目,只是公式有点区别。

给出范围为(0, 0)到(n, n)的整点,你站在原点处,问有多少个整点可见。
对于点(x, y), 若g = gcd(x, y) > 1,则该点必被点(x/g, y/g)所挡住。
因此所见点除了(1, 0)和(0, 1)满足横纵坐标互素。
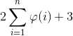
最终答案为
,其中的+3对应(1, 1) (1, 0) (0, 1)三个点
1 #include <cstdio> 2 3 const int maxn = 1000; 4 int phi[maxn + 10]; 5 6 void get_table() 7 { 8 for(int i = 2; i <= maxn; ++i) if(!phi[i]) 9 { 10 for(int j = i; j <= maxn; j += i) 11 { 12 if(!phi[j]) phi[j] = j; 13 phi[j] = phi[j] / i * (i - 1); 14 } 15 } 16 } 17 18 int main() 19 { 20 freopen("3090in.txt", "r", stdin); 21 22 get_table(); 23 for(int i = 1; i <= maxn; ++i) phi[i] += phi[i - 1]; 24 25 int T; 26 scanf("%d", &T); 27 for(int kase = 1; kase <= T; ++kase) 28 { 29 int n; 30 scanf("%d", &n); 31 printf("%d %d %d\n", kase, n, phi[n]*2+3); 32 } 33 34 return 0; 35 }
POJ 3090 (欧拉函数) Visible Lattice Points
原文:http://www.cnblogs.com/AOQNRMGYXLMV/p/4170875.html