首页 > 编程语言 > 详细

【转载】混合高斯模型(Mixtures of Gaussians)和EM算法

时间:2015-01-16 12:42:39      阅读:238      评论:0      收藏:0      [点我收藏+]

混合高斯模型(Mixtures of Gaussians)和EM算法

      这篇讨论使用期望最大化算法(Expectation-Maximization)来进行密度估计(density estimation)。

      与k-means一样,给定的训练样本是技术分享,我们将隐含类别标签用技术分享表示。与k-means的硬指定不同,我们首先认为技术分享是满足一定的概率分布的,这里我们认为满足多项式分布,技术分享,其中技术分享技术分享有k个值{1,…,k}可以选取。而且我们认为在给定技术分享后,技术分享满足多值高斯分布,即技术分享。由此可以得到联合分布技术分享

      整个模型简单描述为对于每个样例技术分享,我们先从k个类别中按多项式分布抽取一个技术分享,然后根据技术分享所对应的k个多值高斯分布中的一个生成样例技术分享,。整个过程称作混合高斯模型。注意的是这里的技术分享仍然是隐含随机变量。模型中还有三个变量技术分享技术分享。最大似然估计为技术分享。对数化后如下:

      技术分享

      这个式子的最大值是不能通过前面使用的求导数为0的方法解决的,因为求的结果不是close form。但是假设我们知道了每个样例的技术分享,那么上式可以简化为:

      技术分享

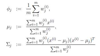
       这时候我们再来对技术分享技术分享进行求导得到:

      技术分享

      技术分享就是样本类别中技术分享的比率。技术分享是类别为j的样本特征均值,技术分享是类别为j的样例的特征的协方差矩阵。

实际上,当知道技术分享后,最大似然估计就近似于高斯判别分析模型(Gaussian discriminant analysis model)了。所不同的是GDA中类别y是伯努利分布,而这里的z是多项式分布,还有这里的每个样例都有不同的协方差矩阵,而GDA中认为只有一个。

      之前我们是假设给定了技术分享,实际上技术分享是不知道的。那么怎么办呢?考虑之前提到的EM的思想,第一步是猜测隐含类别变量z,第二步是更新其他参数,以获得最大的最大似然估计。用到这里就是:

循环下面步骤,直到收敛: {

      (E步)对于每一个i和j,计算

                  技术分享

      (M步),更新参数:

                  技术分享

}

      在E步中,我们将其他参数技术分享看作常量,计算技术分享的后验概率,也就是估计隐含类别变量。估计好后,利用上面的公式重新计算其他参数,计算好后发现最大化最大似然估计时,技术分享值又不对了,需要重新计算,周而复始,直至收敛。

      技术分享的具体计算公式如下:

      技术分享

      这个式子利用了贝叶斯公式。

      这里我们使用技术分享代替了前面的技术分享,由简单的0/1值变成了概率值。

      对比K-means可以发现,这里使用了“软”指定,为每个样例分配的类别技术分享是有一定的概率的,同时计算量也变大了,每个样例i都要计算属于每一个类别j的概率。与K-means相同的是,结果仍然是局部最优解。对其他参数取不同的初始值进行多次计算不失为一种好方法。

      虽然之前再K-means中定性描述了EM的收敛性,仍然没有定量地给出,还有一般化EM的推导过程仍然没有给出。下一篇着重介绍这些内容。

【转载】混合高斯模型(Mixtures of Gaussians)和EM算法

原文:http://www.cnblogs.com/daleloogn/p/4228219.html

(0)
(0)
   
举报
评论 一句话评论(0
关于我们 - 联系我们 - 留言反馈 - 联系我们:wmxa8@hotmail.com
© 2014 bubuko.com 版权所有
打开技术之扣,分享程序人生!