首页 > 其他 > 详细

【转载】在线学习(Online Learning)

时间:2015-01-16 12:47:09      阅读:268      评论:0      收藏:0      [点我收藏+]

在线学习(Online Learning)

      原题目叫做The perception and large margin classifiers,其实探讨的是在线学习。这里将题目换了换。以前讨论的都是批量学习(batch learning),就是给了一堆样例后,在样例上学习出假设函数h。而在线学习就是要根据新来的样例,边学习,边给出结果。

      假设样例按照到来的先后顺序依次定义为技术分享。X为样本特征,y为类别标签。我们的任务是到来一个样例x,给出其类别结果y的预测值,之后我们会看到y的真实值,然后根据真实值来重新调整模型参数,整个过程是重复迭代的过程,直到所有的样例完成。这么看来,我们也可以将原来用于批量学习的样例拿来作为在线学习的样例。在在线学习中我们主要关注在整个预测过程中预测错误的样例数。

      拿二值分类来讲,我们用y=1表示正例,y=-1表示负例。回想在讨论支持向量机中提到的感知算法(perception algorithm)。我们的假设函数为

      技术分享

      其中x是n维特征向量,技术分享是n+1维参数权重。函数g用来将技术分享计算结果映射到-1和1上。具体公式如下:

      技术分享

      这个也是logistic回归中g的简化形式。

      现在我们提出一个在线学习算法如下:

      新来一个样例技术分享,我们先用从之前样例学习到的技术分享来得到样例的预测值y,如果技术分享(即预测正确),那么不改变技术分享,反之

      技术分享

      也就是说,如果对于预测错误的样例,技术分享进行调整时只需加上(实际上为正例)或者减去(实际负例)样本特征x值即可。技术分享初始值为向量0。这里我们关心的是技术分享的符号,而不是它的具体值。调整方法非常简单。然而这个简单的调整方法还是很有效的,它的错误率不仅是有上界的,而且这个上界不依赖于样例数和特征维度。

下面定理阐述了错误率上界:

      定理(Block and Novikoff

      给定按照顺序到来的技术分享样例。假设对于所有的样例技术分享,也就是说特征向量长度有界为D。更进一步,假设存在一个单位长度向量技术分享技术分享。也就是说对于y=1的正例,技术分享,反例技术分享,u能够有技术分享的间隔将正例和反例分开。那么感知算法的预测的错误样例数不超过技术分享

      根据前面对SVM的理解,这个定理就可以阐述为:如果训练样本线性可分,并且几何间距至少是技术分享,样例样本特征向量最长为D,那么感知算法错误数不会超过技术分享。这个定理是62年提出的,63年Vapnik提出SVM,可见提出也不是偶然的,感知算法也许是当时的热门。

下面主要讨论这个定理的证明:

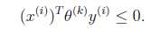
      感知算法只在样例预测错误时进行更新,定义技术分享是第k次预测错误时使用的样本特征权重,技术分享 初始化为0向量。假设第k次预测错误发生在样例技术分享上,利用技术分享计算技术分享值时得到的结果不正确(也就是说技术分享,调换x和技术分享顺序主要是为了书写方便)。也就是说下面的公式成立:

      技术分享

      根据感知算法的更新方法,我们有技术分享。这时候,两边都乘以u得到

      技术分享

      两个向量做内积的时候,放在左边还是右边无所谓,转置符号标注正确即可。

      这个式子是个递推公式,就像等差数列一样f(n+1)=f(n)+d。由此我们可得

      技术分享

      因为初始技术分享为0。

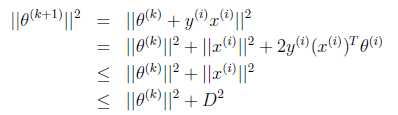
      下面我们利用前面推导出的技术分享技术分享得到

技术分享

      也就是说技术分享的长度平方不会超过技术分享与D的平方和。

      又是一个等差不等式,得到:

      技术分享

      两边开根号得:

      技术分享

      其中第二步可能有点迷惑,我们细想u是单位向量的话,

      技术分享

      因此上面的不等式成立,最后得到:

      技术分享

      也就是预测错误的数目不会超过样本特征向量x的最长长度与几何间隔的平方。实际上整个调整过程中技术分享就是x的线性组合。

      整个感知算法应该是在线学习中最简单的一种了,目前发现online learning挺有用的,以后多多学习。

【转载】在线学习(Online Learning)

原文:http://www.cnblogs.com/daleloogn/p/4228229.html

(0)
(0)
   
举报
评论 一句话评论(0
关于我们 - 联系我们 - 留言反馈 - 联系我们:wmxa8@hotmail.com
© 2014 bubuko.com 版权所有
打开技术之扣,分享程序人生!