首页 > 编程语言 > 详细

【转载】支持向量机(五)SMO算法

时间:2015-01-16 12:53:49      阅读:272      评论:0      收藏:0      [点我收藏+]

支持向量机(五)SMO算法

11 SMO优化算法(Sequential minimal optimization)

SMO算法由Microsoft Research的John C. Platt在1998年提出,并成为最快的二次规划优化算法,特别针对线性SVM和数据稀疏时性能更优。关于SMO最好的资料就是他本人写的《Sequential Minimal Optimization A Fast Algorithm for Training Support Vector Machines》了。

我拜读了一下,下面先说讲义上对此方法的总结。

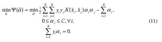
首先回到我们前面一直悬而未解的问题,对偶函数最后的优化问题:

技术分享

要解决的是在参数技术分享上求最大值W的问题,至于技术分享技术分享都是已知数。C由我们预先设定,也是已知数。

按照坐标上升的思路,我们首先固定除技术分享以外的所有参数,然后在技术分享上求极值。等一下,这个思路有问题,因为如果固定技术分享以外的所有参数,那么技术分享将不再是变量(可以由其他值推出),因为问题中规定了

技术分享

因此,我们需要一次选取两个参数做优化,比如技术分享技术分享,此时技术分享可以由技术分享和其他参数表示出来。这样回带到W中,W就只是关于技术分享的函数了,可解。

这样,SMO的主要步骤如下:

技术分享

意思是,第一步选取一对技术分享技术分享,选取方法使用启发式方法(后面讲)。第二步,固定除技术分享技术分享之外的其他参数,确定W极值条件下的技术分享技术分享技术分享表示。

SMO之所以高效就是因为在固定其他参数后,对一个参数优化过程很高效。

下面讨论具体方法:

假设我们选取了初始值技术分享满足了问题中的约束条件。接下来,我们固定技术分享,这样W就是技术分享技术分享的函数。并且技术分享技术分享满足条件:

技术分享

由于技术分享都是已知固定值,因此为了方面,可将等式右边标记成实数值技术分享

技术分享

技术分享技术分享异号时,也就是一个为1,一个为-1时,他们可以表示成一条直线,斜率为1。如下图:

技术分享

横轴是技术分享,纵轴是技术分享技术分享技术分享既要在矩形方框内,也要在直线上,因此

技术分享技术分享

同理,当技术分享技术分享同号时,

技术分享技术分享

然后我们打算将技术分享技术分享表示:

技术分享

然后反代入W中,得

技术分享

展开后W可以表示成技术分享。其中a,b,c是固定值。这样,通过对W进行求导可以得到技术分享,然而要保证技术分享满足技术分享,我们使用技术分享表示求导求出来的技术分享,然而最后的技术分享,要根据下面情况得到:

技术分享

这样得到技术分享后,我们可以得到技术分享的新值技术分享

下面进入Platt的文章,来找到启发式搜索的方法和求b值的公式。

这边文章使用的符号表示有点不太一样,不过实质是一样的,先来熟悉一下文章中符号的表示。

文章中定义特征到结果的输出函数为

技术分享

与我们之前的技术分享实质是一致的。

原始的优化问题为:

技术分享

求导得到:

技术分享

经过对偶后为:

技术分享

s.t. 技术分享

技术分享

这里与W函数是一样的,只是符号求反后,变成求最小值了。技术分享技术分享是一样的,都表示第i个样本的输出结果(1或-1)。

经过加入松弛变量技术分享后,模型修改为:

技术分享

技术分享

由公式(7)代入(1)中可知,

技术分享

这个过程和之前对偶过程一样。

重新整理我们要求的问题为:

技术分享

与之对应的KKT条件为:

技术分享

这个KKT条件说明,在两条间隔线外面的点,对应前面的系数技术分享为0,在两条间隔线里面的对应技术分享为C,在两条间隔线上的对应的系数技术分享在0和C之间。

将我们之前得到L和H重新拿过来:

技术分享

技术分享

之前我们将问题进行到这里,然后说将技术分享技术分享表示后代入W中,这里将代入技术分享中,得

技术分享

其中

技术分享

这里的技术分享技术分享代表某次迭代前的原始值,因此是常数,而技术分享技术分享是变量,待求。公式(24)中的最后一项是常数。

由于技术分享技术分享满足以下公式

技术分享

因为技术分享的值是固定值,在迭代前后不会变。

那么用s表示技术分享,上式两边乘以技术分享时,变为:

技术分享

其中

技术分享

代入(24)中,得

技术分享

这时候只有技术分享是变量了,求导

技术分享

如果技术分享的二阶导数大于0(凹函数),那么一阶导数为0时,就是极小值了。

假设其二阶导数为0(一般成立),那么上式化简为:

技术分享

将w和v代入后,继续化简推导,得(推导了六七行推出来了)

技术分享

我们使用技术分享来表示:

技术分享

通常情况下目标函数是正定的,也就是说,能够在直线约束方向上求得最小值,并且技术分享

那么我们在(30)两边都除以技术分享可以得到

技术分享

这里我们使用技术分享表示优化后的值,技术分享是迭代前的值,技术分享

与之前提到的一样技术分享不是最终迭代后的值,需要进行约束:

技术分享

那么

技术分享

在特殊情况下,技术分享可能不为正,如果核函数K不满足Mercer定理,那么目标函数可能变得非正定,技术分享可能出现负值。即使K是有效的核函数,如果训练样本中出现相同的特征x,那么技术分享仍有可能为0。SMO算法在技术分享不为正值的情况下仍有效。为保证有效性,我们可以推导出技术分享就是技术分享的二阶导数,技术分享技术分享没有极小值,最小值在边缘处取到(类比技术分享),技术分享时更是单调函数了,最小值也在边缘处取得,而技术分享的边缘就是L和H。这样将技术分享技术分享分别代入技术分享中即可求得技术分享的最小值,相应的技术分享还是技术分享也可以知道了。具体计算公式如下:

技术分享

至此,迭代关系式出了b的推导式以外,都已经推出。

b每一步都要更新,因为前面的KKT条件指出了技术分享技术分享的关系,而技术分享和b有关,在每一步计算出技术分享后,根据KKT条件来调整b。

b的更新有几种情况:

技术分享

来自罗林开的ppt

这里的界内指技术分享,界上就是等于0或者C了。

前面两个的公式推导可以根据技术分享

和对于技术分享技术分享的KKT条件推出。

这样全部参数的更新公式都已经介绍完毕,附加一点,如果使用的是线性核函数,我们就可以继续使用w了,这样不用扫描整个样本库来作内积了。

w值的更新方法为:

技术分享

根据前面的

技术分享

公式推导出。

12 SMO中拉格朗日乘子的启发式选择方法

终于到了最后一个问题了,所谓的启发式选择方法主要思想是每次选择拉格朗日乘子的时候,优先选择样本前面系数技术分享技术分享作优化(论文中称为无界样例),因为在界上(技术分享为0或C)的样例对应的系数技术分享一般不会更改。

这条启发式搜索方法是选择第一个拉格朗日乘子用的,比如前面的技术分享。那么这样选择的话,是否最后会收敛。可幸的是Osuna定理告诉我们只要选择出来的两个技术分享中有一个违背了KKT条件,那么目标函数在一步迭代后值会减小。违背KKT条件不代表技术分享,在界上也有可能会违背。是的,因此在给定初始值技术分享=0后,先对所有样例进行循环,循环中碰到违背KKT条件的(不管界上还是界内)都进行迭代更新。等这轮过后,如果没有收敛,第二轮就只针对技术分享的样例进行迭代更新。

在第一个乘子选择后,第二个乘子也使用启发式方法选择,第二个乘子的迭代步长大致正比于技术分享,选择第二个乘子能够最大化技术分享。即当技术分享为正时选择负的绝对值最大的技术分享,反之,选择正值最大的技术分享

最后的收敛条件是在界内(技术分享)的样例都能够遵循KKT条件,且其对应的技术分享只在极小的范围内变动。

至于如何写具体的程序,请参考John C. Platt在论文中给出的伪代码。

13 总结

这份SVM的讲义重点概括了SVM的基本概念和基本推导,中规中矩却又让人醍醐灌顶。起初让我最头疼的是拉格朗日对偶和SMO,后来逐渐明白拉格朗日对偶的重要作用是将w的计算提前并消除w,使得优化函数变为拉格朗日乘子的单一参数优化问题。而SMO里面迭代公式的推导也着实让我花费了不少时间。

对比这么复杂的推导过程,SVM的思想确实那么简单。它不再像logistic回归一样企图去拟合样本点(中间加了一层sigmoid函数变换),而是就在样本中去找分隔线,为了评判哪条分界线更好,引入了几何间隔最大化的目标。

之后所有的推导都是去解决目标函数的最优化上了。在解决最优化的过程中,发现了w可以由特征向量内积来表示,进而发现了核函数,仅需要调整核函数就可以将特征进行低维到高维的变换,在低维上进行计算,实质结果表现在高维上。由于并不是所有的样本都可分,为了保证SVM的通用性,进行了软间隔的处理,导致的结果就是将优化问题变得更加复杂,然而惊奇的是松弛变量没有出现在最后的目标函数中。最后的优化求解问题,也被拉格朗日对偶和SMO算法化解,使SVM趋向于完美。

另外,其他很多议题如SVM背后的学习理论、参数选择问题、二值分类到多值分类等等还没有涉及到,以后有时间再学吧。其实朴素贝叶斯在分类二值分类问题时,如果使用对数比,那么也算作线性分类器。

【转载】支持向量机(五)SMO算法

原文:http://www.cnblogs.com/daleloogn/p/4228198.html

(0)
(0)
   
举报
评论 一句话评论(0
关于我们 - 联系我们 - 留言反馈 - 联系我们:wmxa8@hotmail.com
© 2014 bubuko.com 版权所有
打开技术之扣,分享程序人生!