1. 常见的数列总结
(1)斐波那契数列:

如何实现斐波那契数列,我们可以采取如下方法:
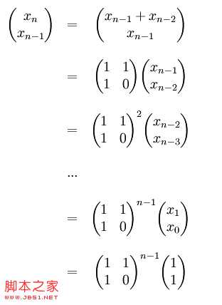
(1)递归求解(慢)(2)递推法 (3)矩阵快速幂
下面给出矩阵快速幂的由来:

除了这些问题,我们对于斐波那契数列还可能涉及高精度数的处理问题。
(2)卡特兰数
卡塔兰数是组合数学中一个常出现在各种计数问题中出现的数列。由以比利时的数学家欧仁·查理·卡塔兰 (1814–1894)命名。
卡塔兰数的一般项公式为
另类递归式: h(n)=((4*n-2)/(n+1))*h(n-1);
前几项为 (OEIS中的数列A000108): 1, 1, 2, 5, 14, 42, 132, 429, 1430, 4862, 16796, 58786, 208012, 742900, 2674440, 9694845, 35357670, 129644790, 477638700, 1767263190, 6564120420, 24466267020, 91482563640, 343059613650, 1289904147324, 4861946401452, ...
Cn的另一个表达形式为
所以,Cn是一个自然数;这一点在先前的通项公式中并不显而易见。这个表达形式也是André对前一公式证明的基础。(见下文的第二个证明。)
卡塔兰数满足以下递推关系

它也满足

这提供了一个更快速的方法来计算卡塔兰数。
卡塔兰数的渐近增长为

它的含义是左式除以右式的商趋向于1当n → ∞。(这可以用n!的斯特灵公式来证明。)
所有的奇卡塔兰数Cn都满足n = 2k − 1。所有其他的卡塔兰数都是偶数。
组合数学中有非常多.的组合结构可以用卡塔兰数来计数。在Richard P. Stanley的Enumerative Combinatorics: Volume 2一书的习题中包括了66个相异的可由卡塔兰数表达的组合结构。以下用Cn=3和Cn=4举若干例:
证明:
令1表示进栈,0表示出栈,则可转化为求一个2n位、含n个1、n个0的二进制数,满足从左往右扫描到任意一位时,经过的0数不多于1数。显然含n个1、n个0的2n位二进制数共有
个,下面考虑不满足要求的数目.
考虑一个含n个1、n个0的2n位二进制数,扫描到第2m+1位上时有m+1个0和m个1(容易证明一定存在这样的情况),则后面的0-1排列中必有n-m个1和n-m-1个0。将2m+2及其以后的部分0变成1、1变成0,则对应一个n+1个0和n-1个1的二进制数。反之亦然(相似的思路证明两者一一对应)。
从而
。证毕。



算法竞赛入门经典训练指南【递推问题】------2015年1月24日
原文:http://www.cnblogs.com/khbcsu/p/4246114.html