蒙特卡罗方法百度解释http://baike.baidu.com/link?url=XwVnK6P_gip61_P9RzC9u6T4KQP5hmoZIvx57XBM66hPBONRRl3-yAwldGr3orFe
问题描述:
有A B C D E 五个人,围成一圈,开始球在A的手上,然后由A向与自己相邻的两边的某一人传球,然后要求计算球被传十次,最后又回到A手中的概率。

如上图所示,A只能把球传给B或者E,其几率是相同的。
对每个人来说把球传给左边或者右边的人的几率都是相同的,且为1/2;
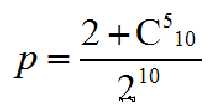
这样我们便可以用这样的公式来计算出最后的结果:

分母是指每轮传球每个人都有两种传球可能性
分子中的2是指可以通过传球沿着一个顺序转两圈的方式,使球到达A的手中;
后面的组合公式是指每轮传十次球,必须做到五次是传给右边的人,五次传给左边的人,才能最终到达A的手中。这样做出来的结果是254/1024=0.248;
然后回到我们的重点上来,如何能够用蒙特卡罗方法解决这个题目。
首先要建立模型,即要模仿真人传球的过程。
每一次传球的时候都看做是随机的,那么让机器产生一个随机数,根据随机数的大小来分配球传递的方向,这样便可以解决随机性问题,
然后在充分多的数量之后便可以根据能够到达A的次数总和L除以总数N,求出概率。这里的N 取1000000次就可以,对计算机来说,1000000次也是很快就做完的。
具体实现代码如下:
1 #include<iostream> 2 #include<cstring> 3 #include<cstdlib> 4 #include<ctime> 5 //利用蒙特卡罗方法 6 //目的:计算 p=L/N; 7 //L: 球回到A手中的次数 8 //N: 充分多的次数,这里取值1000000 9 // A-B-C-D-E-A,从A开始 10 using namespace std; 11 int factory(); //每轮传十次球的模仿过程 12 int main() 13 { 14 srand(time(NULL));//用时间做种子 15 int count=0;//记录回到A的数量 16 for(int i=0;i<1000000;i++)//循环1000000次 17 { 18 count+=factory(); 19 } 20 double rate=1.0*count/1000000.0; 21 cout<<"rate= "<<rate<<endl; 22 return 0; 23 } 24 int factory() 25 { 26 //建立五元数组,模仿五个人, 27 //每次让球所在的位置为1,其余为零 28 int test[5]={1,0,0,0,0};//test[0]代表A 29 int q=0; 30 for(int i=0;i<10;i++) 31 { 32 q=rand()%10+1;//生成1-10的随机数 33 //q<=5 go left 34 //q>5 go right 35 for(int j=0;j<5;j++) 36 { 37 if(test[j]==1)//the ball current place 38 { 39 if(q<=5) 40 { 41 if(j==0)test[4]=1,test[0]=0; 42 else test[j]=0,test[j-1]=1; 43 } 44 else 45 { 46 if(j==4)test[0]=1,test[4]=0; 47 else test[j]=0,test[j+1]=1; 48 } 49 break; 50 } 51 } 52 } 53 if(test[0]==1)return 1;//最终回到A返回1 54 return 0; 55 }
通过代码实现,结果也约等于0.248,说明通过蒙特卡罗方法计算出来的数据为真。
在很多难以用简单公式计算的时候可以采用蒙特卡罗算法计算。
原文:http://www.cnblogs.com/sytu/p/4249317.html