矩阵是三维图形学中不可或缺的部分,几乎所有和变换相关的操作都涉及矩阵,世界变换,视图变换,投影变换,视口变换无一不需要矩阵,但是当今的两大主流图形库DirectX和OpenGL对矩阵操作却有着细微的差别,大多数的图形学书籍都以OpenGL为基础进行阐述,游戏编程类的书籍则更多使用DirectX,这就难免产生混淆,今天这篇主要讲讲两者在操作矩阵的时候有何不同。
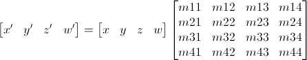
在三维图形学中,一般使用四维矩阵,也就是四行四列的方阵,下面是一个典型的四维矩阵

既然是三维图形学,为什么使用四维矩阵呢?主要有两个原因,第一,为了平移变换,第二,为了区别点和向量。
对于一个四维向量,它是行向量还是列向量呢?DirectX使用行向量,如下。

而OpenGL则使用列向量,如下

或者写成

顶点进行几何变换的过程,从数学层面讲,就是顶点和矩阵相乘产生新顶点的过程,那么向量与矩阵相乘时顺序是怎样的呢?这取决于该向量是行向量还是列向量,我们知道两个矩阵Aij和Bxy若能相乘,则必须满足j=x才行,也就是说左边矩阵的列数要等于右边矩阵的行数,由于行向量和列向量本质上也是矩阵,也满足矩阵乘法的规律。
在DirectX中,使用行向量,所以向量和矩阵相乘的时候,向量在左,矩阵在右,如下。

而OpenGL中则使用列向量,相乘的时候矩阵在左,向量在右,如下。

比如对于平移变换来说,如果使用DirectX,那么m41,m42,m43分别对应三个平移分量,对应下面的Tx,Ty和Tz。

如果使用OpenGL,那么m11,m21,m31分别对应三个平移分量。

可以看出,对于同一个变换,DirectX中的矩阵和OpenGL中的矩阵互为转置矩阵。
如果有多个变换作用于一个顶点,那么可以先将所有的变换矩阵相乘,得到一个变换矩阵,最后将这个变换矩阵应用到顶点即可,这就涉及到矩阵的连乘,这时候如何安排矩阵的先后顺序呢?假设现在有三个变换,分别是平移变换,对应矩阵T,旋转变换,对应矩阵R,缩放变换,对应矩阵S,顺序是先平移,再旋转,后缩放,那么这个矩阵乘法该如何去写呢?
在DirectX中,矩阵乘法的顺序是从左到右,变换生效的先后顺序也是从左到右

而在OpenGL中,矩阵连乘的顺序是从右到左

不管是哪种方式,都是先产生作用的矩阵离顶点近(上面的T),后产生作用的矩阵离顶点远(上面的S)。
矩阵乘法的顺序与坐标系是左手系还是右手系有关系么?根本没啥关系!
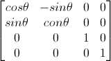
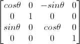
下面给出几种常用的变换在DirectX和OpenGL中对应的矩阵,下图中左面是DirectX中的矩阵,右面是OpenGL中的矩阵。





一致,因为缩放变换的变换因子都在矩阵的对角线上,所以转置矩阵等于其自身。
原文:http://www.cnblogs.com/AZ-ZK/p/4264304.html