首页 > 编程语言 > 详细

建模算法(三)——非线性规划

时间:2015-02-01 17:25:10      阅读:1115      评论:0      收藏:0      [点我收藏+]

一、非线性规划和线性规划不同之处

1、含有非线性的目标函数或者约束条件

2、如果最优解存在,线性规划只能存在可行域的边界上找到(一般还是在顶点处),而非线性规划的最优解可能存在于可行域的任意一点达到。

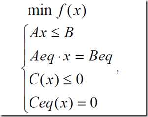
二、非线性规划的Matlab解法

1、Matlab中非线性规划的数学模型为:

技术分享

       其中f(x)是标量函数,A,B,Aeq,Beq是相应维数的矩阵和向量,C(x),Ceq(X)是非线性向量函数。

技术分享

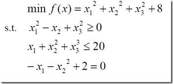
      然后我们通过一个例子来加深印象

技术分享

         技术分享

MATLAB实现:

function f=fun1(x)       %定义目标函数
f=sum(x.^2)+8;
function [g,h]=fun2(x)     %非线性约束条件
g=[-x(1)^2+x(2)-x(3)^2
    x(1)+x(2)^2+x(3)^3-20];
h=[-x(1)-x(2)^2+2
    x(2)+2*x(3)^2-3];
options = optimset(largescale,off);
[x,y]=fmincon(fun1,rand(3,1),[],[],[],[],zeros(3,1),[],fun2,options)  %初始值是个随意的数字

2、求解线性规划的基本迭代格式

(1) 这一块主要是一些概念,认识了这些概念,才能继续理解下面的思想,不得不看,不要觉得烦,就想学加减乘除,我们必须定下’+’就是加这个规则一样,所以我们要理解这些概念。

技术分享

(2)对于NP问题(非线性规划),可以采用迭代方法求它的最优解。基本思想就是:

       从一个选定的初始点技术分享出发,按照某一特定的迭代规则产生一个点列技术分享,使得当技术分享时有穷点列时,其最后一个是NP的最优解;当技术分享时无穷点列是,它存在极限,并且极限点就是NP的最优解

技术分享

技术分享

(3)求解NP问题的一般步骤

在列出步骤之前,我们要先理解一个概念(用来决定搜索的最佳方向)

技术分享

一般步骤为:

a、选取初始点技术分享,令k:=0

b、构造搜索方向,按照一定的规划,构造f在点技术分享处关于K的可行下降方向作为搜索方向。

c、求出下一个迭代点,按迭代格式求出

技术分享

    若满足了某种终止条件,就停止迭代

d、用技术分享代替技术分享,继续迭代。

(4)凸函数、凸规划

技术分享

         这种规划的特点在于,他的局部最优解就是全局最优解,这是很棒的特性,说明这一类的NP问题很容易进行求解。

(二)无约束问题

一、一维搜索方法

    例如一维极小化问题,若f(t)是[a,b]区间上的下单峰函数,通过不断地缩短[a,b]的长度,来搜索得到近似最优解。

   就是找到关于这个区间对称的2点,然后比较这两点的大小,那么t*肯定将大的那边回缩,构造一个更小的区间来求解,这样的话最后就取到极限值,就可以得到最优解。

1、斐波那契数列法

技术分享

      这个方法就是用来确定步长是如何取得一种方式,是采用斐波那契分数来刻画每次区间的差值。

      然后就是经过一系列的探索之后,使最后的探索点和最优解之间的距离不超过精度技术分享,也就是最后的区间长度不能超过这个技术分享,这样子的话,我们可以通过精度,反过来确定需要探索的次数N,进行N次停下来,最终的就是最优解。

技术分享

      下面是算法的整体思路(编程思路)

技术分享

2、0.618法(黄金分割法)技术分享

 

       只是将比值改为了0.618,这样子的话,编程实现起来更加的简单,只要将上述的第三部中的斐波那契比值改为0.618即可。

3、二次插值法(暂时略过)

4、无约束极值问题的解法

(1)一般格式为:技术分享

(2)解析法——梯度法

      对于基本的迭代格式,我们首先要确定的是搜索方向,那么由微积分的知识可得,沿着负梯度的方向是f下降最快的方向,所以我们作为我们以为搜索的方向。

这个方法的特点就是每次搜索的方向都是下降最快的方向,于是乎我们的停止条件为:技术分享

      具体步骤如下:

技术分享

在此举出一个例题

技术分享

MATLAB实现

function [f,df]=detaf(x)

f=x(1)^2+25*x(2)^2;
df=[2*x(1)
    50*x(2)];
x=[2;2];
[f0,g]=detaf(x);
while norm(g)>1e-6
    p=-g/norm(g);
    t=1.0;
    f=detaf(x+t*p);
    while f>f0
        t=t/2;
        f=detaf(x+t*p);
    end
    x=x+t*p;
    [f0,g]=detaf(x);
end
x,f0

最后极值趋近于0,差不多= =。

(3)解析法——牛顿法

       其实就是用二次展开式逼近,确定出一个搜索的方向。至于中间的计算(呵呵了- -)

技术分享

技术分享

然后一般步骤(编程思路)

技术分享

然后举一题例题

技术分享

我们可以通过计算得到

技术分享

技术分享

然后使用MATLAB编程求解(其实用C也可以。。)

function [f,df,d2f]=nwfun(x)

f=x(1)^4+25*x(2)^4+x(1)^2*x(2)^2;
df=[4*x(1)^3+2*x(1)*x(2)^2
    100*x(2)^3+2*x(1)^2*x(2)];
d2f=[12*x(1)^2+2*x(2)^2,4*x(1)*x(2)
    4*x(1)*x(2),300*x(2)^2+2*x(1)^2];
x=[2;2];
[f0,g1,g2]=nwfun(x);

while norm(g1)>0.00001
    p=-inv(g2)*g1;
    x=x+p;
    [f0,g1,g2]=nwfun(x);
end
x,f0

然后如果目标函数不是二次函数,那么一般来说Newton法不能保证求得最优解。

      为了提高计算精度,我们在迭代的时候依旧可以使用变步长的方法。

x=[2;2];
[f0,g1,g2]=nwfun(x);

while norm(g1)>0.00001
    p=-inv(g2)*g1;
    p=p/norm(p);
    t=1.0;
    f=nwfun(x+t*p);
    while f>f0
       t=t/2;
       f=nwfun(x+t*p)
    end
x=x+t*p;
[f0,g1,g2]=nwfun(x);
end

x,f0

(3)解析法——变尺度法

     这是用来解决Newton法求逆矩阵太耗时而研究出的一种解决的方法。推到我们可以直接略过吧。

直接写出一般步骤

技术分享

技术分享

(4)直接法——Powell方法

技术分享

技术分享

5、无约束问题的MATLAB方法。。(= =,早说,我都不写了)

1、无约束问题的MATLAB格式

技术分享

(1)fminunc命令

技术分享

例子如下

技术分享

MATLAB调用解题

技术分享

技术分享

(2)fminsearch命令

技术分享

(三)约束极值问题

一、二次规划

1、定义:目标函数是x的二次函数,而且约束条件都是线性的。

2、一般数学模型

技术分享

3、MATLAB的求解函数

技术分享

二、外罚函数法

技术分享

例题:

技术分享

求解

技术分享

技术分享

三、MATLAB求约束极值问题

1、fminbnd函数

技术分享

2、fseminf函数

技术分享

技术分享

3、fseminf函数

技术分享

建模算法(三)——非线性规划

原文:http://www.cnblogs.com/BlueMountain-HaggenDazs/p/4265697.html

(0)
(0)
   
举报
评论 一句话评论(0
关于我们 - 联系我们 - 留言反馈 - 联系我们:wmxa8@hotmail.com
© 2014 bubuko.com 版权所有
打开技术之扣,分享程序人生!