首页 > 其他 > 详细

LDPC编译码基本原理

时间:2015-02-09 22:54:25      阅读:637      评论:0      收藏:0      [点我收藏+]

学习笔记

V1.0 2015/02/04

LDPC编译码基本原理

?

概述

?

本文是个人针对LDPC的学习笔记,主要针对LDPC译码算法做了简要的总结。该版本主要致力于阐述LDPC码译码原理,这是一份有很多"问题"的总结,希望能够慢慢完善。

技术分享

修订历史

以下表格展示了本文档的修订过程

日期

版本号

修订内容

2015/02/04

V1.0

初始版本,仅包含译码部分

技术分享

简介

?

本文提到的LDPC编码均指二进制LDPC编码,多进制暂时不进行讨论。为方便起见本文中混用了似然函数和条件概率密度这两个概念,虽然这样做是不恰当的。

?

?

LDPC码是一种校验矩阵具有低密度的线性分组码。也就是说,LDPC码和普通的线性分组码没有什么不同,但冠以"低密度"三字,说明以下两点问题

  • 既然限定了校验矩阵1的个数较少,说明这肯定在某些方面带来好处。当然,"某些方面"具体是什么,值得我们继续探讨。已知的好处包括计算上的便利,存储量的减少。以及实际上多个相近的接收信号之间实际上有相关性,稀疏性可以减少其影响。
  • 校验矩阵其实是校验方程的集合,对其做初等行变换是不会改变码本身的特性的。"低密度"三字还表现出我们对其校验矩阵的表示往往比码本身感兴趣。(一类码可以有低密度的校验矩阵,也有不满足低密度约束的校验矩阵)。

校验矩阵是一个相对通用的表示工具,线性分组码都可以由校验矩阵确定。通用性往往意味着很多时候难以表现一些特性,譬如,低密度。一个好的表示方式往往是解决问题的关键。图论中有一个图的矩阵表示,校验矩阵是稀疏的,一个好的表示就是指出其中1的位置,我们在意的也就是这些位置。如果将稀疏矩阵采用图来描述,这一个目的就达到了,这一类图被称为Tanner图,如图 1。

Tanner图和校验矩阵具有以下对应关系。Tanner图有技术分享变量节点和技术分享个校验节点,对应校验矩阵技术分享的列数和行数。如果第技术分享个变量节点和第技术分享个校验节点之间有边相连,那么技术分享,否则技术分享。显然,变量节点内部是没有边相连的,校验节点也是如此。

技术分享

图 1 校验矩阵和Tanner图

?

此时我们可以先明确一些关于校验矩阵和Tanner图的定义

  • 校验矩阵的行重:每行1的个数,列重是每列1的个数
  • 正规LDPC码:校验矩阵行重、列重都是定值
  • 二分图:图的节点可以分为两类,类中的节点之间没有直接连接。Tanner图是一个二分图,分为校验节点和变量节点
  • 度:某一节点引出的边的数目
  • 环和girth:从一个节点按边不重复回到同一节点的路径称为环,环上边的数量称为环的girth

?

现在,我们应该好好考虑编译码的问题了。编码过程中,知道校验矩阵后生成矩阵是可以求出来的。求出生成矩阵后,至少可以说明编码是可进行的。利用其它的一些性质,这个过程可以变得更容易。(此部分内容还没有仔细看)

关于译码规则,香农在证明第二定理的时候采用了最大似然译码准则。当然,译码准则的选取还取决于信道。譬如,二进制对称信道下汉明距离译码和最大似然是一致的。然而,实际信道往往被看作是加性高斯白噪声信道,这个时候我们更多的需要考虑采用最大似然译码准则了。同时,毋庸置疑的是我们应该采用软判决译码以达到好的效果。此时,似然函数可以表示为技术分享 ,其中技术分享是接收序列,技术分享是编码后序列,技术分享技术分享在码本空间内,即满足校验方程。显然,似然函数的计算是难以进行的。但早期Gallager作了很多工作。

技术分享

概率译码

?

1962年Gallager提出了LDPC码的基本概率译码算法,本节将阐述这一思想。

  1. 从联合条件概率分布到边缘条件概率分布

解决一个大的问题的基本思路在于将其分解为一系列的小问题。对于似然函数而言,如果求技术分享的概率密度可以达到同样的效果,即求技术分享那么求解会方便很多。如果技术分享 ,那么求解技术分享和求解技术分享 具有相同的效果。那么问题在于是否可以这样做。

如果技术分享之间相互独立,这一关系显然是成立的;然而独立也就意味着不相关,那么这是不符合冗余度要求的。注意到我们求的是条件独立,条件是技术分享属于码本空间。条件独立的关系应该是成立的,虽然不清楚如何证明,然而其相关性已经作为条件出现在概率分布函数中了,在这一前提下技术分享之间相互独立。

  1. 加性高斯白噪声信道

发送信号通过信道后成为了接收信号技术分享,信道是加性高斯白噪声信道(从矢量信道模型去考虑)意味着

技术分享

那么我们有技术分享,这是因为同样在码本空间内,技术分享的概率分布和技术分享 无关。

  1. 校验方程

当我们致力于求解技术分享的时候,实际上我们只需要在0,1之间选择一个取值,所以我们可以分别计算0,1的概率,计算比值

????技术分享

注意到乘号左侧是和信道有关的,右边的技术分享技术分享(包含技术分享的方程)代替的原因是其他校验方程和条件是无关的。写到这里的时候,我们似乎计算不下去了。不妨做一个不切实际的假设,那就是除技术分享以外的其他概率分布已经求得了。当我们考虑一个校验方程的时候会发现技术分享时该校验方程成立的条件是方程中其他的变量具有偶数个1,技术分享时正好相反。但是技术分享是多个校验方程的集合,如果说这些校验方程条件独立,将每一方程成立的概率相乘即可。那么问题是,什么时候校验方程条件独立?在回答这个问题之前,我们可以举出几个例子。

(1)当两个校验方程一样的时候

技术分享

此时(一般情况下)

????技术分享

(2)校验方程具有相同项

技术分享

此时(一般情况下)

技术分享

可以认为,如果校验方程行线性无关,那么

技术分享

?

引理:

一个长为技术分享 的相互独立的二进制序列,其中第技术分享个比特为1的概率为技术分享 ,那么整个序列中包含偶数个1的概率是

技术分享

证明:

技术分享

将上述函数展开为关于技术分享的多项式,则技术分享的系数表示这个长为m的序列中"1"的个数为技术分享的概率。

技术分享

这个函数与前一个函数的区别在于:技术分享的奇数次幂的系数符号不同,两者正好互为正负。将这两个函数相加,那么技术分享的偶次幂的系数为原函数的2倍,奇次项相加后消去。令技术分享,就可以得到序列中"1"的个数为偶数的概率:

技术分享

同样可得,序列中"1"的个数为奇数的概率是

技术分享

?

上文已经阐述技术分享之间的条件独立特性,同时

????技术分享

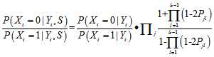
所以在基于除技术分享以外的其他概率分布已经求得的前提下,求解技术分享是可行的。4

这个前提是无法达到的,上述过程中我们也看到了求解每一个比特的概率通过校验方程环环相扣。或许,如果我们可以找到一个线头,这个问题可能就可以求解了。但很可惜的是,由于比特的相互依赖关系,计算概率的过程实际上是一个环。(大部分情况下是这样的)这个时候,概率译码直接将其修剪成了一棵树以计算概率分布。

修剪的原则在于,上层节点不能运用底层节点已经用过的校验信息,防止陷入循环。此时,通过绘制校验树,就能够求解后验概率分布。

概率译码给出了一种求解方式,那么这种针对单一比特的求解方式在真实的计算过程中是否可行?如果基于计算所有码元考虑是否有更好的计算方法?这种方法求得的解是否最优?在我看来,由于其余比特的概率是不准确的(不是最佳估计),此时我们也不能够得到求解比特的真实后验概率

技术分享

置信传播

?

如果我们回到要求解的式子

技术分享

在求解技术分享的过程中我们希望得到技术分享(第技术分享个方程的第技术分享个节点为1的后验概率技术分享)的好的估计值。采用技术分享是一个很简单的选择,但是很显然不好,因为没有用到校验矩阵的约束信息。概率译码下考虑到了这一点,所以采用了树结构将校验矩阵的约束信息包含在其中。但是即使概率译码这样考虑了,实际上最顶层的节点采用的还是 技术分享

或许另一种思路在于,对所有的技术分享都采用技术分享进行估计得到了一个更加好的估计,再用这些更好的估计进行迭代估计(所有节点并行估计)。问题在于,是否每次迭代都可以得到对于技术分享的更好的估计?

感性的认识是由于接收到了其他节点和校验方程的信息,迭代之后的估计会更好。另一个认识是如果Tanner图的某一个环的girth很短,那么自身的信息会大量的传递回来。因为距离越远,传递信息的比重就会越小(乘了太多小于1的数),环girth很长就不用考虑这个问题。但这还需要更多的理性分析。

下面具体阐述置信传播算法,假定编码后的星座映射为假定编码后的星座映射为技术分享

初始值

????技术分享

首先我们计算

????技术分享

技术分享

图 2 信息传递过程

?

之后我们更新各个变量节点的概率分布

技术分享

这个时候我们发现了一个问题,如果对于每一个校验节点来说,我们都给技术分享这一信息,那么刚从校验节点传递过来的信息立刻就被返回去了。所以技术分享显然不是技术分享 的更好的估计值。参考概率译码,我们至少能够做的是将其他节点传递的消息传递出去。(关于这个问题,不从得到技术分享更好估计的角度,从消息传递的角度会更好解释,这将在因子图中介绍)因此置信传播的迭代过程应该是这样的。(参考《An Introduction to Low-Density Parity Check Codes》)

?

××××××××××××××××××××××××××××××××××××××××××××××××××××××××××××××××××××

这一部分内容不是我写的,所以就删掉不共享出来了。不过对于算法而言都是一样的,所以可以参考任意一本LDPC书上的译码算法。

××××××××××××××××××××××××××××××××××××××××××××××××××××××××××××××××××××

?

我们注意到在任何一种算法中,终止条件都有一条是校验式等于零。为何要设置这一个终止条件?实际上在设计的过程中,我们会保证任意两个可用码字之间的距离足够远。在这一个前提假设下,迭代过程中一旦落入了可用码字空间内,即使错误,那么也是几乎没有转移到正确码字的可能的。因此设置了这一终止条件。

技术分享

因子图

?

尚未完成

技术分享

参考

?

《LDPC码基础与应用》 贺鹤云

《An Introduction to Low-Density Parity Check Codes》 Daniel J. Costello, Jr.

《LDPC码理论与应用》 袁东风

《Pattern Recognition and Machine Learning》

LDPC编译码基本原理

原文:http://www.cnblogs.com/sea-wind2/p/4282640.html

(0)
(0)
   
举报
评论 一句话评论(0
关于我们 - 联系我们 - 留言反馈 - 联系我们:wmxa8@hotmail.com
© 2014 bubuko.com 版权所有
打开技术之扣,分享程序人生!