最近在学机器学习,看了Andrew Ng 的公开课,同时学习李航博士的 《统计学习方法》在此记录。
在第十二页有一个关于多项式拟合的问题。此处,作者直接给出了所求的的偏导。这里做一下详细推导。
,
此处函数模型的求偏导问题,首先看一下偏导的定义


因为此处是
,所以除了Wj 外的Xi,Yi 都可以视作常数。对此求解。

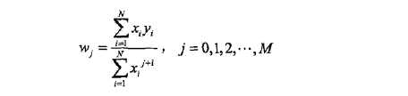
推导后我们会发现所得出的公式与作者给出的答案不同
,不过作者也给出了更正的勘误
但是我们发现还是和我推导出的答案不同。作者分母下的x上标为j+1,而我推导出的上标为2j,参考作者的勘误会发现分子上x的上标增加了一个
j,如果分子上也是因为少了一个j的话,那么就能想通了。
本帖属首次发帖,风格未定,漏洞百出,另外也可能有错误,欢迎大家指正。仅作为个人学习记录,可为大家略作参考。
载请注明出处,谢谢 。
原文:http://www.cnblogs.com/santian/p/4336934.html