首页 > 编程语言 > 详细

【转载】(EM算法)The EM Algorithm

时间:2015-04-17 23:36:21      阅读:306      评论:0      收藏:0      [点我收藏+]

(EM算法)The EM Algorithm

      EM是我一直想深入学习的算法之一,第一次听说是在NLP课中的HMM那一节,为了解决HMM的参数估计问题,使用了EM算法。在之后的MT中的词对齐中也用到了。在Mitchell的书中也提到EM可以用于贝叶斯网络中。

下面主要介绍EM的整个推导过程。

1. Jensen不等式

      回顾优化理论中的一些概念。设f是定义域为实数的函数,如果对于所有的实数x,技术分享,那么f是凸函数。当x是向量时,如果其hessian矩阵H是半正定的(技术分享),那么f是凸函数。如果技术分享或者技术分享,那么称f是严格凸函数。

      Jensen不等式表述如下:

      如果f是凸函数,X是随机变量,那么

      技术分享

      特别地,如果f是严格凸函数,那么技术分享当且仅当技术分享,也就是说X是常量。

      这里我们将技术分享简写为技术分享

      如果用图表示会很清晰:

      技术分享

      图中,实线f是凸函数,X是随机变量,有0.5的概率是a,有0.5的概率是b。(就像掷硬币一样)。X的期望值就是a和b的中值了,图中可以看到技术分享成立。

      当f是(严格)凹函数当且仅当-f是(严格)凸函数。

      Jensen不等式应用于凹函数时,不等号方向反向,也就是技术分享

2. EM算法

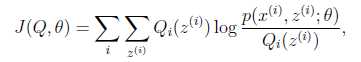
      给定的训练样本是技术分享,样例间独立,我们想找到每个样例隐含的类别z,能使得p(x,z)最大。p(x,z)的最大似然估计如下:

      技术分享

      第一步是对极大似然取对数,第二步是对每个样例的每个可能类别z求联合分布概率和。但是直接求技术分享一般比较困难,因为有隐藏变量z存在,但是一般确定了z后,求解就容易了。

      EM是一种解决存在隐含变量优化问题的有效方法。竟然不能直接最大化技术分享,我们可以不断地建立技术分享的下界(E步),然后优化下界(M步)。这句话比较抽象,看下面的。

      对于每一个样例i,让技术分享表示该样例隐含变量z的某种分布,技术分享满足的条件是技术分享。(如果z是连续性的,那么技术分享是概率密度函数,需要将求和符号换做积分符号)。比如要将班上学生聚类,假设隐藏变量z是身高,那么就是连续的高斯分布。如果按照隐藏变量是男女,那么就是伯努利分布了。

可以由前面阐述的内容得到下面的公式:

      技术分享

      (1)到(2)比较直接,就是分子分母同乘以一个相等的函数。(2)到(3)利用了Jensen不等式,考虑到技术分享是凹函数(二阶导数小于0),而且

      技术分享

      就是技术分享的期望(回想期望公式中的Lazy Statistician规则)

      设Y是随机变量X的函数技术分享(g是连续函数),那么

      (1) X是离散型随机变量,它的分布律为技术分享,k=1,2,…。若技术分享绝对收敛,则有

      技术分享

      (2) X是连续型随机变量,它的概率密度为技术分享,若技术分享绝对收敛,则有

      技术分享

      对应于上述问题,Y是技术分享,X是技术分享技术分享技术分享,g是技术分享技术分享的映射。这样解释了式子(2)中的期望,再根据凹函数时的Jensen不等式:

      技术分享

可以得到(3)。

      这个过程可以看作是对技术分享求了下界。对于技术分享的选择,有多种可能,那种更好的?假设技术分享已经给定,那么技术分享的值就决定于技术分享技术分享了。我们可以通过调整这两个概率使下界不断上升,以逼近技术分享的真实值,那么什么时候算是调整好了呢?当不等式变成等式时,说明我们调整后的概率能够等价于技术分享了。按照这个思路,我们要找到等式成立的条件。根据Jensen不等式,要想让等式成立,需要让随机变量变成常数值,这里得到:

      技术分享

      c为常数,不依赖于技术分享。对此式子做进一步推导,我们知道技术分享,那么也就有技术分享,(多个等式分子分母相加不变,这个认为每个样例的两个概率比值都是c),那么有下式:

      技术分享

      至此,我们推出了在固定其他参数技术分享后,技术分享的计算公式就是后验概率,解决了技术分享如何选择的问题。这一步就是E步,建立技术分享的下界。接下来的M步,就是在给定技术分享后,调整技术分享,去极大化技术分享的下界(在固定技术分享后,下界还可以调整的更大)。那么一般的EM算法的步骤如下:

循环重复直到收敛 {

      (E步)对于每一个i,计算

                  技术分享

      (M步)计算

                  技术分享

      那么究竟怎么确保EM收敛?假定技术分享技术分享是EM第t次和t+1次迭代后的结果。如果我们证明了技术分享,也就是说极大似然估计单调增加,那么最终我们会到达最大似然估计的最大值。下面来证明,选定技术分享后,我们得到E步

      技术分享

      这一步保证了在给定技术分享时,Jensen不等式中的等式成立,也就是

      技术分享

      然后进行M步,固定技术分享,并将技术分享视作变量,对上面的技术分享求导后,得到技术分享,这样经过一些推导会有以下式子成立:

      技术分享

      解释第(4)步,得到技术分享时,只是最大化技术分享,也就是技术分享的下界,而没有使等式成立,等式成立只有是在固定技术分享,并按E步得到技术分享时才能成立。

      况且根据我们前面得到的下式,对于所有的技术分享技术分享都成立

      技术分享

      第(5)步利用了M步的定义,M步就是将技术分享调整到技术分享,使得下界最大化。因此(5)成立,(6)是之前的等式结果。

      这样就证明了技术分享会单调增加。一种收敛方法是技术分享不再变化,还有一种就是变化幅度很小。

      再次解释一下(4)、(5)、(6)。首先(4)对所有的参数都满足,而其等式成立条件只是在固定技术分享,并调整好Q时成立,而第(4)步只是固定Q,调整技术分享,不能保证等式一定成立。(4)到(5)就是M步的定义,(5)到(6)是前面E步所保证等式成立条件。也就是说E步会将下界拉到与技术分享一个特定值(这里技术分享)一样的高度,而此时发现下界仍然可以上升,因此经过M步后,下界又被拉升,但达不到与技术分享另外一个特定值一样的高度,之后E步又将下界拉到与这个特定值一样的高度,重复下去,直到最大值。

      如果我们定义

      技术分享

      从前面的推导中我们知道技术分享,EM可以看作是J的坐标上升法,E步固定技术分享,优化技术分享,M步固定技术分享优化技术分享

3. 重新审视混合高斯模型

      我们已经知道了EM的精髓和推导过程,再次审视一下混合高斯模型。之前提到的混合高斯模型的参数技术分享技术分享计算公式都是根据很多假定得出的,有些没有说明来由。为了简单,这里在M步只给出技术分享技术分享的推导方法。

E步很简单,按照一般EM公式得到:

      技术分享

      简单解释就是每个样例i的隐含类别技术分享为j的概率可以通过后验概率计算得到。

      在M步中,我们需要在固定技术分享后最大化最大似然估计,也就是

      技术分享

      这是将技术分享的k种情况展开后的样子,未知参数技术分享技术分享

      固定技术分享技术分享,对技术分享求导得

      技术分享

      等于0时,得到

      技术分享

      这就是我们之前模型中的技术分享的更新公式。

      然后推导技术分享的更新公式。看之前得到的

      技术分享

      在技术分享技术分享确定后,分子上面的一串都是常数了,实际上需要优化的公式是:

      技术分享

      需要知道的是,技术分享还需要满足一定的约束条件就是技术分享

      这个优化问题我们很熟悉了,直接构造拉格朗日乘子。

      技术分享

      还有一点就是技术分享,但这一点会在得到的公式里自动满足。

      求导得,

      技术分享

      等于0,得到

      技术分享

      也就是说技术分享再次使用技术分享,得到

      技术分享

      这样就神奇地得到了技术分享

      那么就顺势得到M步中技术分享的更新公式:

      技术分享

      技术分享的推导也类似,不过稍微复杂一些,毕竟是矩阵。结果在之前的混合高斯模型中已经给出。

4. 总结

      如果将样本看作观察值,潜在类别看作是隐藏变量,那么聚类问题也就是参数估计问题,只不过聚类问题中参数分为隐含类别变量和其他参数,这犹如在x-y坐标系中找一个曲线的极值,然而曲线函数不能直接求导,因此什么梯度下降方法就不适用了。但固定一个变量后,另外一个可以通过求导得到,因此可以使用坐标上升法,一次固定一个变量,对另外的求极值,最后逐步逼近极值。对应到EM上,E步估计隐含变量,M步估计其他参数,交替将极值推向最大。EM中还有“硬”指定和“软”指定的概念,“软”指定看似更为合理,但计算量要大,“硬”指定在某些场合如K-means中更为实用(要是保持一个样本点到其他所有中心的概率,就会很麻烦)。

      另外,EM的收敛性证明方法确实很牛,能够利用log的凹函数性质,还能够想到利用创造下界,拉平函数下界,优化下界的方法来逐步逼近极大值。而且每一步迭代都能保证是单调的。最重要的是证明的数学公式非常精妙,硬是分子分母都乘以z的概率变成期望来套上Jensen不等式,前人都是怎么想到的。

      在Mitchell的Machine Learning书中也举了一个EM应用的例子,明白地说就是将班上学生的身高都放在一起,要求聚成两个类。这些身高可以看作是男生身高的高斯分布和女生身高的高斯分布组成。因此变成了如何估计每个样例是男生还是女生,然后在确定男女生情况下,如何估计均值和方差,里面也给出了公式,有兴趣可以参考。

【转载】(EM算法)The EM Algorithm

原文:http://www.cnblogs.com/daleloogn/p/4436345.html

(0)
(0)
   
举报
评论 一句话评论(0
关于我们 - 联系我们 - 留言反馈 - 联系我们:wmxa8@hotmail.com
© 2014 bubuko.com 版权所有
打开技术之扣,分享程序人生!