题意:
亮亮有N个有瑕疵的硬币,有瑕疵意味着抛一枚硬币正面向上的概率 不等于 反面向上的概率 也即概率不等于0.5。
现在亮亮一次抛N个硬币 , 恰好有K个硬币正面向上 ,接着他又想抛一次 , 问:出现正面向上的个数的期望
抛硬币这个随机实验满足二项分布,即X~B(p , N)
所以期望 E(X) = N * P
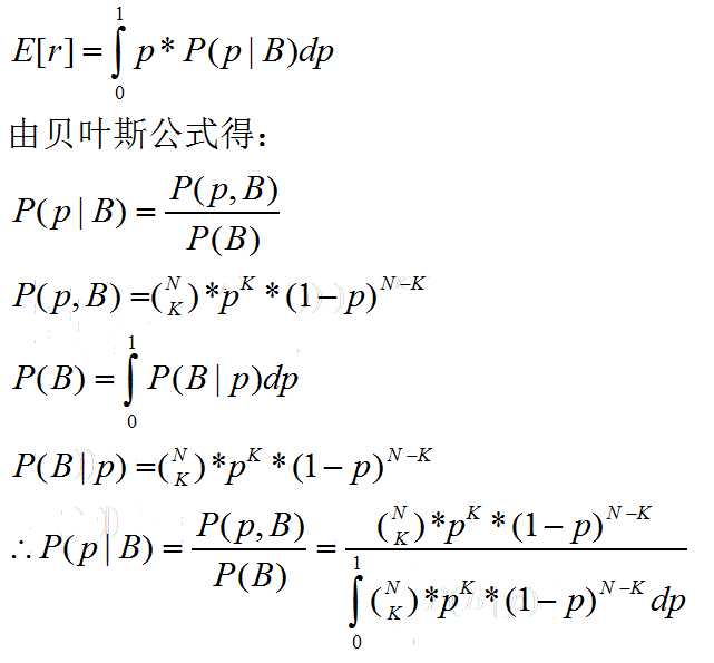
而正面向上的概率不定 , 则概率为r的期望为:
即:E[X] = N * E[r].
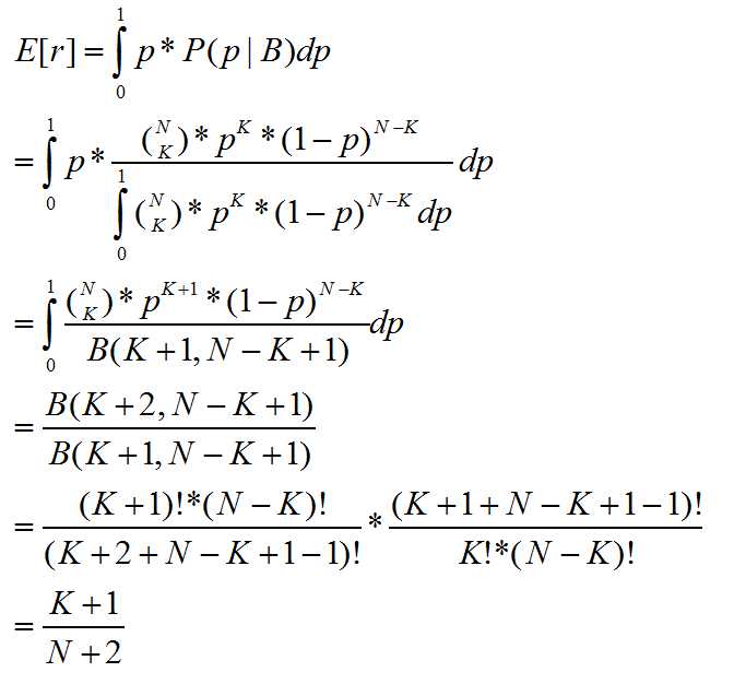
接下来对E[r]进行化简:

∵p~Be(K+1 , N-K+1)

代入原式得:E(x)=N * (K+1) / (N+2)
代码如下:
1 #include <cstdio> 2 #include <cstring> 3 #include <cstdlib> 4 #include <cmath> 5 #include <iostream> 6 #include <map> 7 #include <list> 8 #include <queue> 9 #include <stack> 10 #include <string> 11 #include <algorithm> 12 #include <iterator> 13 using namespace std; 14 #define MAXN 1000000 15 #define INF 0x3f3f3f3f 16 #define MOD 1000000007 17 #define eps 1e-6 18 #define LL long long 19 20 int main() 21 { 22 int n , k; 23 while(scanf("%d %d",&n,&k)!=EOF) 24 { 25 printf("%.3lf\n", n * (k + 1.0) / (n + 2.0)); 26 } 27 return 0; 28 }
原文:http://www.cnblogs.com/By-ruoyu/p/4468725.html