首页 > 其他 > 详细

SVM(支持向量机)(一)

时间:2014-03-15 10:25:25      阅读:817      评论:0      收藏:0      [点我收藏+]

   (整理自AndrewNG的课件,转载请注明。整理者:华科小涛@http://www.cnblogs.com/hust-ghtao/

    SVM(Support Vector Machines)系列会循序渐进的方式给大家讲解支持向量机,内容有点多,打算分四篇博文介绍。SVM是最好的有监督学习算法之一,它有很多忠实的fans,执着地认为它就是最好的。为了讲述SVM,我们从线性可分数据开始(后来会去掉线性可分的约束),引出Margin(间隔)的概念;接下来会讨论optimal margin classifier(最忧间隔分类器),过渡到拉格朗日的对偶问题;我们还会介绍kernels(核函数),通过它SVM可以解决高维问题(甚至是无限维);最后我们会介绍SMO算法,这是实现SVM的有效算法。

1 函数间隔(function margin)和几何间隔(geometric margin)

1.1直观理解

    为了引出间隔的概念,我们先来回顾一下logistic 回归,Logistic回归目的是从特征学习出一个0/1分类模型,而这个模型是将特性的线性组合作为自变量,由于自变量的取值范围是负无穷到正无穷。因此,使用logistic函数(或称作sigmoid函数)将自变量映射到(0,1)上,映射后的值被认为是属于y=1的概率。

    假设函数:

bubuko.com,布布扣,其中bubuko.com,布布扣bubuko.com,布布扣的特征向量,bubuko.com,布布扣是logistic函数。bubuko.com,布布扣 的函数图像如下:

 

 bubuko.com,布布扣 ,可以看到bubuko.com,布布扣bubuko.com,布布扣从负无穷到正无穷映射到bubuko.com,布布扣

    我们令:bubuko.com,布布扣表示输入变量被映射为y=1的概率。

    对于输入变量bubuko.com,布布扣,如果bubuko.com,布布扣,也就是bubuko.com,布布扣,我们则判断y=1。否则,判断y=0。

    考虑一个y=1对应的样本,bubuko.com,布布扣越大,则bubuko.com,布布扣越大,越接近1,那么我就对我们的判断更加自信,换言之,y=1的置信度越大。直觉上理解,要想让我们的Logistic回归置信度很高,应该满足以下下条件:

    bubuko.com,布布扣bubuko.com,布布扣

这里bubuko.com,布布扣是通过训练集学习出来的边界条件,也就是对于任意的输入变量,bubuko.com,布布扣的值离边界都很远,我们认为这是一个很好的分类器,我们就将这个差值定义为函数间隔。

    为了更好的理解,请看下图:

 

 bubuko.com,布布扣 ,图中的直线是通过算法学习出的判决边界,新输入三点A、B、C,要求我们对其进行分类,显然都可以进行分类。但是若要问你那个点被正确分类的置信度最大,是A,因为它离边界的距离最远,B次之,我们对C的分类的置信度是最低的。这里的点到判决直线的距离就是几何间隔。

1.2 符号定义

    上面只是直观地介绍了函数间隔和几何间隔,为了更加正式地定义间隔的概念,我们需要重新定义一下有关的Notation:

在明确一下需要解决的问题:对于二值分类问题,输入变量bubuko.com,布布扣,目标变量是类的标号bubuko.com,布布扣,确定线性分类器。与Logistic回归不同,我们用bubuko.com,布布扣表示类别的标号,用bubuko.com,布布扣表示分类器:bubuko.com,布布扣,其中bubuko.com,布布扣,其中

 

 bubuko.com,布布扣 ,对于给定的通过这样的假设函数,输出变量就是1或-1,而省略了Logistic回归计算概率的中间过程。

1.3 正式定义

    对于一个给定的训练样本bubuko.com,布布扣,我们定义bubuko.com,布布扣的函数间隔:bubuko.com,布布扣

    当bubuko.com,布布扣时,为了使函数间隔尽量大,bubuko.com,布布扣要为正且尽量大;当bubuko.com,布布扣时,为了使函数间隔尽量大,bubuko.com,布布扣要为负且尽量小。

    另外,对于一个输入样本,若bubuko.com,布布扣,我们认为分类正确。

    我们刚才定义的函数价格是针对单个样本的,现在定义对于整个训练集的函数间隔:

 

    bubuko.com,布布扣 ,就是距离判决边界最近的点对应的函数间隔。

 

    那我们用函数间隔来衡量线性分类器的性能怎么样?假如我们的分类面为bubuko.com,布布扣,那么把bubuko.com,布布扣缩放任意倍数,分类面不会发生变化,但函数间隔却发生了变化。例如:bubuko.com,布布扣,分类面仍为为bubuko.com,布布扣,但函数间隔却变为bubuko.com,布布扣,扩大了2倍,所以用函数间隔来衡量分类器并不合理。为此引入几何间隔的概念。

    先看下图:

 

bubuko.com,布布扣 ,样本点的几何间隔就是样本点到分类面(分类线)的几何距离,如图中线段AB。

    求解AB乃简单的几何问题:已知bubuko.com,布布扣,用bubuko.com,布布扣表示几何间隔,w是分类面的法向量,则以求得B点bubuko.com,布布扣,又因为B点在分类面上,满足方程:bubuko.com,布布扣,所以有:

bubuko.com,布布扣

解方程得到:

bubuko.com,布布扣

 

    这是对于bubuko.com,布布扣的情况,对于bubuko.com,布布扣我们得到

 

bubuko.com,布布扣,写到一起:

 

bubuko.com,布布扣

 

注意两点:(1)当bubuko.com,布布扣时,几何间隔和函数间隔相等;

              (2)等比缩放bubuko.com,布布扣,几何间隔不变。

    同样定义对与整个训练集的集合间隔:

 

bubuko.com,布布扣 ,就是距离判决边界最近的点对应的几何间隔。

 

2 最优间隔分类器(The optimal margin classifier)

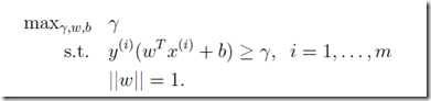
     对于给定的样本集,我们假设其是线性可分的,就是可以找到合适的超平面(hyperplane),将正类和负类正确的分开。我们如何找到这个超平面,从而使对于整个训练集的几何间隔最大,则优化问题可描述如下:

 

bubuko.com,布布扣 ,目标函数是使几何间隔最大化,约束为全局的几何间隔应该是所有样本几何间隔中最小的,bubuko.com,布布扣使

 

bubuko.com,布布扣的值为几何间隔。到此分类器的模型已经确定,就差求参数bubuko.com,布布扣了。

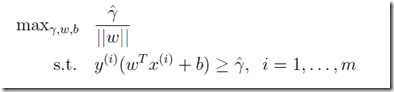
    但是有点问题,bubuko.com,布布扣是个非凸的约束,不利于用现有的工具求解,需要将此约束转化一下,于是有了如下形式:

 

bubuko.com,布布扣 ,就是将目标函数和约束都转换成了关于函数间隔的,但注意这只是形式上的转换,我们的目的还是最大几何间隔。

   

约束是凸约束啦,糟糕,目标函数又非凸啦,那就再转换一下。假如我们求得了bubuko.com,布布扣,和对应的几何间隔bubuko.com,布布扣,我们缩放bubuko.com,布布扣不会改变分类面和几何间隔,就是说对分类性能没有影响。那我们就可以调整bubuko.com,布布扣,令函数间隔bubuko.com,布布扣,不会影响计算结果,目标函数

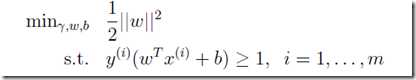
bubuko.com,布布扣 ,使目标函数最大化等价于使bubuko.com,布布扣最小化,所以将问题转化为:

 

bubuko.com,布布扣 。这就是最优间隔分类器的最终形式。目标函数和约束都是凸函数啦,可以利用QP软件来求解啦。

 

    总结一下:这部分的思路还是比较清楚,为了引出间隔的概念,先回顾了Logistic回归,并给了函数间隔和几何间隔的概念。以几何间隔为目标函数学习分类面,给出最优分类器的基本形式,但不利于求解,所以经过两部形式转换,将目标和约束都转换成凸函数,可用QP求解。注意,这不是我们的终极目的,接下来我们还会介绍更优的算法来求解最优间隔分类器的问题。

SVM(支持向量机)(一),布布扣,bubuko.com

SVM(支持向量机)(一)

原文:http://www.cnblogs.com/hust-ghtao/p/3601578.html

(0)
(0)
   
举报
评论 一句话评论(0
关于我们 - 联系我们 - 留言反馈 - 联系我们:wmxa8@hotmail.com
© 2014 bubuko.com 版权所有
打开技术之扣,分享程序人生!