EM算法,之前上模式识别课上,推导过,在《统计学习方法》中没耐性的看过几次,个人感觉讲的过于理论,当时没怎么看懂,后来学lda,想要自己实现一下em算法,又忘记了,看来还是学的不够仔细,认识的不够深刻,现在做点笔记。本文是看了几篇blog和《统计学习方法》之后做的笔记,只是用来给自己做记录,很多地方都是直接引用。
一、初识
1. 迭代
EM算法本身可以理解为一个迭代算法,很抽象&简单的形容迭代就是,比如我们有两个公式a=f(b), b=g(a),需要求解,我们可以先随机的给a赋一个值,在根据b=g(a)计算出b,得到b,在根据b得到a,如此往复,直到a,b基本不变。
2. 隐变量问题
EM算法很适用与求解包含隐变量的问题,这里引用《统计学习方法》中的一个例子(pLSA的弱化版本):
eg. 有3枚硬币,分别记为A,B,C,掷得正面的概率分别为∏,p,q;
先投掷硬币A,如果是正面则继续投掷硬币B,是反面则投掷硬币C,最终出现正面记为1,出现反面记为0;
独立的重复n次实验后,得到一串实验结果Y=(Y1,Y2,……,Yn)。
这里Y=(Y1,Y2,……,Yn)T称作观测变量,但这里也有不能直接观测到,但却需要知道的一个变量,即投掷A的结果,可以记为Z=(Z1,Z2,……,Zn)T,同时有些已知的参数,我们可以统一记为θ=(∏, p, q)。通过上面的一些符号,我们可以得知Y的分布:
上式即为Y的似然函数,得到了似然函数,第一想到的便是参数的似然估计 ,下面回顾一下最大似然估计(MLE)的一般步骤:
求最大似然函数估计值的一般步骤: (1)写出似然函数; (2)对似然函数取对数,并整理; (3)求导数,令导数为0,得到似然方程; (4)解似然方程,得到的参数即为所求
其实最大似然可以这样想,我们假设已经知道到了θ,在已知θ的情况下,产生Y,很自然,如果我们看到结果产生了很多个Yi,那么P(Yi|θ)一定是比较大的。现在我们反过来想,我们已经知道了Y,
,那么使该结果出现的可能性最大的参数情况,就是我们估计的参数。
很不巧,上述步骤,是没有解析解的,这样我们就必须用到EM算法了。
3. Jensen不等式
回顾优化理论中的一些概念。设f是定义域为实数的函数,如果对于所有的实数x,
,那么f是凸函数。当x是向量时,如果其hessian矩阵H是半正定的(
),那么f是凸函数。如果
或者
,那么称f是严格凸函数。
Jensen不等式表述如下:
如果f是凸函数,X是随机变量,那么
特别地,如果f是严格凸函数,那么
当且仅当
,也就是说X是常量。
如果用图表示会很清晰:
图中,实线f是凸函数,X是随机变量,有0.5的概率是a,有0.5的概率是b。(就像掷硬币一样)。X的期望值就是a和b的中值了,图中可以看到
成立。
当f是(严格)凹函数当且仅当-f是(严格)凸函数。
二、EM算法
上面的例子,有个很悬乎的变量,我们无法直接知道,即A硬币的投掷结果,但如果我们知道了某一次输出在投掷A后的输出是什么了,我们就能够很容易运用最大似然(当然,这个例子用简单的直觉也能知道)得到p,q的估计值。
eg.
1.如果A硬币的投掷结果有x次正面,n-x次反面(在这个假设下,也就得到了∏的估计值),那么我们只要统计那x次中最后出现的正反面情况就能得到p的估计值了,对q也同理;
2.得到了p,q值之后,我们又容易反过来问,你怎么知道之前的假设是正确的呢?而在已知p,q的情况下,之前我们的似然函数就能够求解了,这样我们就又能得到一个新的∏
3.在新的∏值下,我们又可以对p,q进行新的估计了。如此往复,如果最终收敛了,那么就得到了我们对参数θ的估计值
上面说的很抽象,下面具体地说一说(以下部分引自(EM算法)The EM Algorithm)。
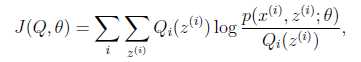
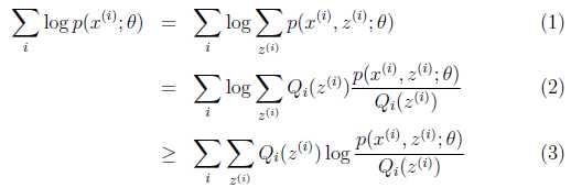
第一步是对极大似然取对数,第二步是对每个样例的每个可能类别z求联合分布概率和(对z求和后即可得到x的边缘分布概率)。但是直接求θ一般比较困难,因为有隐藏变量z存在,但是一般确定了z后,求解就容易了。
EM是一种解决存在隐含变量优化问题的有效方法。竟然不能直接最大化
,我们可以不断地建立
的下界(E步),然后优化下界(M步)。这句话比较抽象,看下面的。
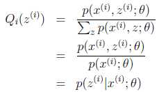
对于每一个样例i,让
表示该样例隐含变量z的某种分布,
满足的条件是
。(如果z是连续性的,那么
是概率密度函数,需要将求和符号换做积分符号)。比如要将班上学生聚类,假设隐藏变量z是身高,那么就是连续的高斯分布。如果按照隐藏变量是男女,那么就是伯努利分布了(上文提到的三个硬币的例子中的∏就可以理解为这里的
,对于每个i,
都是∏,∏是伯努利分布)。
可以由前面阐述的内容得到下面的公式:
(1)到(2)比较直接,就是分子分母同乘以一个相等的函数。
(2)到(3)利用了Jensen不等式。
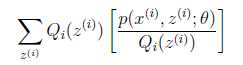
考虑到
是凹函数(二阶导数小于0),而且
,可以理解为
的期望。得到(3)式后,我可以理解为,得到了似然函数l(θ)的一个下界,如果不断提升下界,使下界的值与l(θ)近似相等时,我们就可以用不等式右边的值代替l(θ)了。
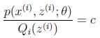
对于
的选择,有多种可能,那种更好的?假设
已经给定,那么
的值就决定于
和
(其实应该是
,但这里只有
未知)。首先我们思考当
和
都已经确定时,也就是jensen不等式中的随机变量
已知时,我们可以知道当该随机变量恒为常数时,不等式取等号,即:
c为常数,不依赖于
(但确是依赖于x(i)的,所以对于不同i,c还是不一样的,但都是常数)。对此式子做进一步推导,我们知道
,那么也就有
,那么有下式:
至此,我们推出了在固定其他参数
后,
的计算公式就是后验概率,解决了
如何选择的问题。这一步就是E步,建立
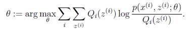
的下界。接下来的M步,就是在给定
后,调整
,去极大化
的下界(在固定
后,下界还可以调整的更大)。那么一般的EM算法的步骤如下:
|
循环重复直到收敛 { (E步)对于每一个i,计算 (M步)计算
|
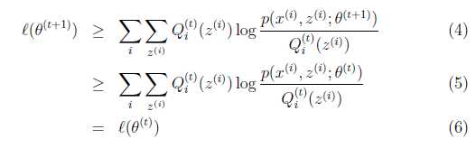
那么如何证明EM算法会收敛,其实有下面公式就好了:
这里证明了
,即l(θ)是单调上升的,到最后就一定能收敛到最大值。具体解释:
(4)是对所有的参数都满足,而其等式成立条件只是在固定
,并调整好Q时成立(即如果是,等式成立),这里
不一定等于
,所以不一定能取等号。
(4)到(5)就是M步的定义,是固定第t步,固定Q调整
得到的结果
(5)到(6)是前面E步所保证等式成立条件。
也就是说E步会将下界拉到与
一个特定值
(这里
)一样的高度,而此时发现下界仍然可以上升,因此经过M步后,下界又被拉升,但达不到与
另外一个特定值一样的高度,即此时下界还是要小于
,之后E步又将下界拉到与这个特定值一样的高度
,重复下去,直到将下界拉升到
的最大值。
某 blog 中有个很形象的图,引用到这里

如果定义
从前面的推导中我们知道
,EM可以看作是J的坐标上升法,E步固定
,优化
,M步固定
优化
。
EM算法的基本原理就是这些了
Reference
1. 统计学习方法
2. http://www.cnblogs.com/jerrylead/archive/2011/04/06/2006936.html
3. http://blog.csdn.net/zouxy09/article/details/8537620
4. Andrew Ng 课程
Expectation Maximization(EM)算法note
原文:http://www.cnblogs.com/celia01/p/4488711.html