首页 > 编程语言 > 详细

快速排序

时间:2015-05-16 21:46:01      阅读:387      评论:0      收藏:0      [点我收藏+]

 

一. 题目描述

使用快速排序对n个元素进行排序。

二. 题目分析

快速排序是基于分治策略的一种排序算法。其基本思想为

通过一趟排序,将待排序记录分割成独立的两部分,其中一部分记录的关键字均比另一部分记录的关键字小,再分别对这两部分记录进行下一趟排序,以达到整个序列有序。

三. 算法实现

#include <stdio.h>

int partition(int a[],int low,int high);

void quickSort(int a[],int low,int high)
{
    if (low<high)
    {
        int k = partition(a,low,high);
        quickSort(a,low,k-1);
        quickSort(a,k+1,high);
    }
}
 
// 一趟快速排序,划分
int partition(int a[],int low,int high)
{
    int i=low,j=high;
    int x = a[i];
    while (i!=j)
    {
        while (a[j]>=x && i<j) j—;
        if (i<j) { a[i]=a[j]; i++; }
        while (a[i]<=x && i<j) i++;
        if
(i<j) { a[j]=a[i]; j; }
    }
    a[i]
=x;
    return i;
}
技术分享
int main()
{
    int a[]={29,38,22,45,23,67,31};
    quickSort(a,0,6);
    for (int i=0;i<7;i++)
        printf("%d ",a[i]);
    printf("\n");
    return 0;
}

四. 复杂性分析

快速排序的运行时间与划分是否对称相关,其最坏情况发生在划分过程产生的两个区域分别包含n-1个元素和1个元素的时候。由于函数partition的计算时间为O(n),所以如果算法partition的每一步都出现这种不对称划分,其计算时间复杂性T(n)满足

技术分享

解此递归方程可得T(n)=O(n2)。

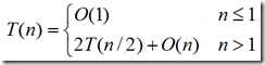
在最好情况下,每次划分所取得基准都恰好为中值,即每次划分都产生两个大小为n/2的区域,此时,partition的计算时间T(n)满足

技术分享

其解为T(n)=O(nlogn)。

可以证明,快速排序算法在平均情况下的时间复杂性也是O(nlogn),这在基于比较的排序算法类中算是快速的,快速排序也因此而得名。

提高算法效率的方法:…

快速排序

原文:http://www.cnblogs.com/xwz0528/p/4508718.html

(0)
(0)
   
举报
评论 一句话评论(0
关于我们 - 联系我们 - 留言反馈 - 联系我们:wmxa8@hotmail.com
© 2014 bubuko.com 版权所有
打开技术之扣,分享程序人生!