首页 > 编程语言 > 详细

EM算法

时间:2015-05-26 12:09:28      阅读:266      评论:0      收藏:0      [点我收藏+]

(EM算法)The EM Algorithm

下面主要介绍EM的整个推导过程。

1. Jensen不等式

      回顾优化理论中的一些概念。设f是定义域为实数的函数,如果对于所有的实数x,技术分享,那么f是凸函数。当x是向量时,如果其hessian矩阵H是半正定的(技术分享),那么f是凸函数。如果技术分享或者技术分享,那么称f是严格凸函数。

      Jensen不等式表述如下:

      如果f是凸函数,X是随机变量,那么

      技术分享

      特别地,如果f是严格凸函数,那么技术分享当且仅当技术分享,也就是说X是常量。

      这里我们将技术分享简写为技术分享

      如果用图表示会很清晰:

      技术分享

      图中,实线f是凸函数,X是随机变量,有0.5的概率是a,有0.5的概率是b。(就像掷硬币一样)。X的期望值就是a和b的中值了,图中可以看到技术分享成立。

      当f是(严格)凹函数当且仅当-f是(严格)凸函数。

      Jensen不等式应用于凹函数时,不等号方向反向,也就是技术分享

2. EM算法

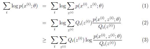
      给定的训练样本是技术分享,样例间独立,我们想找到每个样例隐含的类别z,能使得p(x,z)最大。p(x,z)的最大似然估计如下:

      技术分享

      第一步是对极大似然取对数,第二步是对每个样例的每个可能类别z求联合分布概率和。但是直接求技术分享一般比较困难,因为有隐藏变量z存在,但是一般确定了z后,求解就容易了。

      EM是一种解决存在隐含变量优化问题的有效方法。竟然不能直接最大化技术分享,我们可以不断地建立技术分享的下界(E步),然后优化下界(M步)。这句话比较抽象,看下面的。

      对于每一个样例i,让技术分享表示该样例隐含变量z的某种分布,技术分享满足的条件是技术分享。(如果z是连续性的,那么技术分享是概率密度函数,需要将求和符号换做积分符号)。比如要将班上学生聚类,假设隐藏变量z是身高,那么就是连续的高斯分布。如果按照隐藏变量是男女,那么就是伯努利分布了。

可以由前面阐述的内容得到下面的公式:

      技术分享

      (1)到(2)比较直接,就是分子分母同乘以一个相等的函数。(2)到(3)利用了Jensen不等式,考虑到技术分享是凹函数(二阶导数小于0),而且

      技术分享

      就是技术分享的期望(回想期望公式中的Lazy Statistician规则)   

      设Y是随机变量X的函数技术分享(g是连续函数),那么

      (1) X是离散型随机变量,它的分布律为技术分享,k=1,2,…。若技术分享绝对收敛,则有

      技术分享

      (2) X是连续型随机变量,它的概率密度为技术分享,若技术分享绝对收敛,则有

      技术分享

      对应于上述问题,Y是技术分享,X是技术分享技术分享技术分享,g是技术分享技术分享的映射。这样解释了式子(2)中的期望,再根据凹函数时的Jensen不等式:

      技术分享

可以得到(3)。

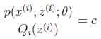
      这个过程可以看作是对技术分享求了下界。对于技术分享的选择,有多种可能,那种更好的?假设技术分享已经给定,那么技术分享的值就决定于技术分享技术分享了。我们可以通过调整这两个概率使下界不断上升,以逼近技术分享的真实值,那么什么时候算是调整好了呢?当不等式变成等式时,说明我们调整后的概率能够等价于技术分享了。按照这个思路,我们要找到等式成立的条件。根据Jensen不等式,要想让等式成立,需要让随机变量变成常数值,这里得到:

      技术分享

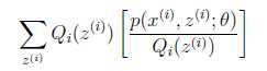
      c为常数,不依赖于技术分享。对此式子做进一步推导,我们知道技术分享,那么也就有技术分享,(多个等式分子分母相加不变,这个认为每个样例的两个概率比值都是c),那么有下式:

      技术分享

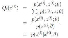
      至此,我们推出了在固定其他参数技术分享后,技术分享的计算公式就是后验概率,解决了技术分享如何选择的问题。这一步就是E步,建立技术分享的下界。接下来的M步,就是在给定技术分享后,调整技术分享,去极大化技术分享的下界(在固定技术分享后,下界还可以调整的更大)。那么一般的EM算法的步骤如下:   

循环重复直到收敛 {

      (E步)对于每一个i,计算

                  技术分享

      (M步)计算

                  技术分享

      那么究竟怎么确保EM收敛?假定技术分享技术分享是EM第t次和t+1次迭代后的结果。如果我们证明了技术分享,也就是说极大似然估计单调增加,那么最终我们会到达最大似然估计的最大值。下面来证明,选定技术分享后,我们得到E步

      技术分享

      这一步保证了在给定技术分享时,Jensen不等式中的等式成立,也就是

      技术分享

      然后进行M步,固定技术分享,并将技术分享视作变量,对上面的技术分享求导后,得到技术分享,这样经过一些推导会有以下式子成立:

      技术分享

      解释第(4)步,得到技术分享时,只是最大化技术分享,也就是技术分享的下界,而没有使等式成立,等式成立只有是在固定技术分享,并按E步得到技术分享时才能成立。

      况且根据我们前面得到的下式,对于所有的技术分享技术分享都成立

      技术分享

      第(5)步利用了M步的定义,M步就是将技术分享调整到技术分享,使得下界最大化。因此(5)成立,(6)是之前的等式结果。

      这样就证明了技术分享会单调增加。一种收敛方法是技术分享不再变化,还有一种就是变化幅度很小。

      再次解释一下(4)、(5)、(6)。首先(4)对所有的参数都满足,而其等式成立条件只是在固定技术分享,并调整好Q时成立,而第(4)步只是固定Q,调整技术分享,不能保证等式一定成立。(4)到(5)就是M步的定义,(5)到(6)是前面E步所保证等式成立条件。也就是说E步会将下界拉到与技术分享一个特定值(这里技术分享)一样的高度,而此时发现下界仍然可以上升,因此经过M步后,下界又被拉升,但达不到与技术分享另外一个特定值一样的高度,之后E步又将下界拉到与这个特定值一样的高度,重复下去,直到最大值。

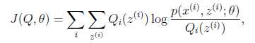
      如果我们定义

      技术分享

      从前面的推导中我们知道技术分享,EM可以看作是J的坐标上升法,E步固定技术分享,优化技术分享,M步固定技术分享优化技术分享

EM算法

原文:http://www.cnblogs.com/dlijuan/p/4530148.html

(0)
(0)
   
举报
评论 一句话评论(0
关于我们 - 联系我们 - 留言反馈 - 联系我们:wmxa8@hotmail.com
© 2014 bubuko.com 版权所有
打开技术之扣,分享程序人生!