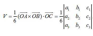
1,建议x,y,z直角坐标系。设A、B、C少拿点的坐标分别为(a1,b,1,c1),(a2,b2,c2),(a3,b3,c3),四面体O-ABC的六条棱长分别为l,m,n,p,q,r;

2,四面体的体积为,由于现在不知道向量怎么打出来,我就插张图片了,

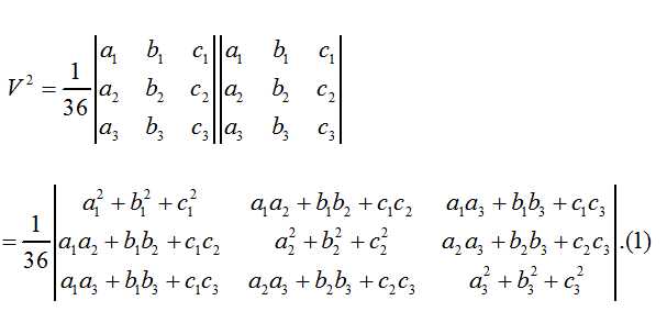
将这个式子平方后得到:

3,根据矢量数量积的坐标表达式及数量积的定义得

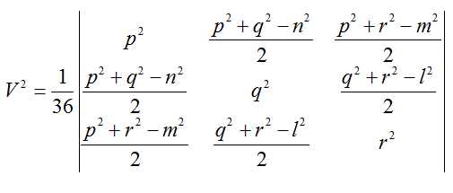
又根据余弦定理得

4,将上述的式子带入(1),就得到了传说中的欧拉四面体公式

在这里说明一点这里面的推导我也是看的,要是是我自己推出来的,我不就欧拉了,哈哈。
poj有一道就是关于这个公式的,说实话出这种题很没意思,如果你不知道公式基本上就做不出来,又一次我们学校比赛,有一哥就出了这个题当时叫人只有那么郁闷了,每一个人A。个人感觉这个公式的用处不大不过它表达数学是一种美丽的东西。最后得到的这个公式也是很漂亮的。
相关题目:POJ 2208、HDU 1411
原文:http://www.cnblogs.com/ERKE/p/3613568.html