鲁棒局部加权回归
算法参考文献:
(1) Robust Locally Weighted Regression and Smoothing Scatterplots (Willism_S.Cleveland)
(2) 数据挖掘中强局部加权回归算法实现 (虞乐,肖基毅)


R实现
#Robust Locally Weighted Regression 鲁棒局部加权回归
# 一元样本值x,y ;待预测样本点xp ;f局部加权窗口大小(一般取1/3~2/3);d局部加权回归阶数;
#time鲁棒局部加权回归次数(一般取2就几乎可以满足收敛);
#step梯度下降法固定步长;error梯度下降法终止误差;maxiter最大迭代次数
RobustLWRegression<-function(x,y,xp,f,d,time,step,error,maxiter){
m<-nrow(x)
r<-floor(f*m) #窗口内的样本量
xl<-abs(x-xp)
xll<-xl[order(xl)]
hr<-xll[r] #h为离xp第r个最近的样本到xp的距离
#三次权值函数(几乎在所有情况下都能够提供充分平滑)
xk<-(x-xp)/hr
w<-ifelse(abs(xk)<1,(1-abs(xk^3))^3,0)
#d次回归函数
for(i in 2:d){
x<-cbind(x,x^i)
}
x<-cbind(1,x)
n<-ncol(x)
#梯度下降法(固定步长)求局部加权回归的系数
theta<-matrix(0,n,1) #theta 初始值都设置为0
iter<-0
newerror<-1
while((newerror>error)|(iter<maxiter)){
iter<-iter+1
h<-x%*%theta
des<-t(t(w*(h-y))%*%x) #局部加权梯度
new_theta<-theta-step*des #直接设置固定步长
newerror<-t(theta-new_theta)%*%(theta-new_theta)
theta<-new_theta
}
#time次鲁棒局部加权回归
for(i in 1:time){
e<-y-x%*%theta
s<-median(e)
#四次权值函数
xb<-e/(6*s)
R_w<-ifelse(abs(xb)<1,(1-xb^2)^2,0)
#梯度下降法求鲁棒加权局部回归
R_theta<-matrix(0,n,1) #theta 初始值都设置为0
R_iter<-0
R_newerror<-1
while((R_newerror>error)|(R_iter<maxiter)){
R_iter<-R_iter+1
R_h<-x%*%R_theta
R_des<-t(t(w*R_w*(R_h-y))%*%x) #鲁棒局部加权梯度
R_new_theta<-R_theta-step*R_des #直接设置固定步长
R_newerror<-t(R_theta-R_new_theta)%*%(R_theta-R_new_theta)
R_theta<-R_new_theta
}
theta<-R_theta
}
for(i in 2:d){
xp<-cbind(xp,xp^i)
}
xp<-cbind(1,xp)
yp<-xp%*%theta
# costfunction<-t(x%*%theta-y)%*%(x%*%theta-y)
# result<-list(yp,theta,iter,costfunction)
# names(result)<-c(‘拟合值‘,‘系数‘,‘迭代次数‘,‘误差‘)
# result
yp
}
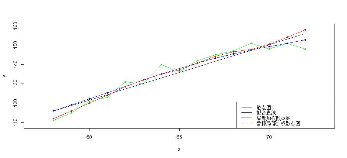
实例比较 线性回归、局部加权线性回归和鲁棒局部加权线性回归:
>
> t(x)
[,1] [,2] [,3] [,4] [,5] [,6] [,7] [,8] [,9] [,10] [,11] [,12] [,13] [,14] [,15]
[1,] 58 59 60 61 62 63 64 65 66 67 68 69 70 71 72
> t(y)
[,1] [,2] [,3] [,4] [,5] [,6] [,7] [,8] [,9] [,10] [,11] [,12] [,13] [,14] [,15]
[1,] 111 115 121 123 131 130 140 136 142 145 147 151 148 151 148
>
> lm(y~x)
Call:
lm(formula = y ~ x)
Coefficients:
(Intercept) x
-50.245 2.864
> yy<--50.245+2.864*x
>
> plot(x,y,col=‘green‘,pch=20,xlim=c(57,73),ylim=c(109,159))
> lines(x,y,col=‘green‘)
> lines(x,yy,col=‘black‘)
>
> g<-apply(x,1,function(xp){LWLRegression(x,y,xp,3,1e-7,100000,stepmethod=F,step=0.00001,alpha=0.25,beta=0.8)})
>
> points(x,g,col=‘blue‘,pch=20)
> lines(x,g,col=‘blue‘)
>
> gg<-apply(x,1,function(xp){RobustLWRegression(x,y,xp,0.6,2,2,0.00000001,1e-7,10000)})
>
> points(x,gg,col=‘red‘,pch=20)
> lines(x,gg,col=‘red‘)
> legend(‘bottomright‘,legend=c(‘散点图‘,‘拟合直线‘,‘局部加权散点图‘,‘鲁棒局部加权散点图‘),lwd=1,col=c(‘green‘,‘black‘,‘blue‘,‘red‘))
>

Robust Locally Weighted Regression 鲁棒局部加权回归 -R实现
原文:http://www.cnblogs.com/runner-ljt/p/4563134.html