http://www.cnblogs.com/banli/archive/2013/05/19/3087486.html
http://www.cnblogs.com/diliwang/p/3352946.html
自己再梳理一下,便于记忆:
问题描述:输入一个数组A[1,2....n],输出一个按升序排列的数组A‘.

算法分析理论:
通常,我们寻找算法运行的最大时间(上界)T(n),因为最坏的情况是一个承诺,一个保证.
因为,算法的运行时间依赖于我们的电脑。
所以,引入渐进符号:θ(n),对算法进行 渐进分析(asymptotic analysis),这就是算法大局观(Big Idea).
BIG IDEA:
如何计算θ(n)?
数学与工程的trade-offs:

插入排序时间分析:
最坏情况:输入一个逆序数列.

插入排序快不快?
对于较小的n,比较快;对于较大的n,比较慢,更快的一种排序算法是归并排序(Merge Sort).

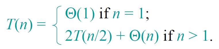
归并排序时间分析(用递归树分析):
![]()

原文:http://www.cnblogs.com/cainiao-xf/p/4569647.html