转自:http://www.cnblogs.com/kekec/archive/2011/08/16/2140789.html
OpenGL场景中模型颜色的产生,大致为如下的流程图所描述:++

++++++ ++++++ ++++++ ++++++
(1)当不开启光照时,使用顶点颜色来产生整个表面的颜色。
用glShadeModel可以设置表面内部像素颜色产生的方式。GL_FLAT/GL_SMOOTH.
++
(2)一般而言,开启光照后,在场景中至少需要有一个光源(GL_LIGHT0...GL_LIGHT7)
通过glEnable(GL_LIGHT0) glDisable(GL_LIGHT0) 来开启和关闭指定的光源。
GLfloat gAmbient[] = {0.6, 0,6, 0,6, 1.0};
glLightModelfv(GL_LIGHT_MODEL_AMBIENT, gAmbient);
++
(3)设置光源的光分量 -- 环境光/漫色光/镜面光
默认情况下,GL_LIGHT0...GL_LIGHT7 的GL_AMBIENT值为(0.0, 0.0, 0.0, 1.0);
GL_LIGHT0的GL_DIFFUSE和GL_SPECULAR值为(1.0, 1.0, 1.0, 1.0),
GL_LIGHT1...GL_LIGHT7 的GL_DIFFUSE和GL_SPECULAR值为(0.0, 0.0, 0.0, 0.0)。
GLfloat lightAmbient[] = {1.0, 1.0, 1.0, 1.0};
GLfloat lightDiffuse[] = {1.0, 1.0, 1.0, 1.0};
GLfloat lightSpecular[] = {0.5, 0.5, 0.5, 1.0};
glLightfv(GL_LIGHT0, GL_AMBIENT, lightAmbient);
glLightfv(GL_LIGHT0, GL_DIFFUSE, lightDiffuse);
glLightfv(GL_LIGHT0, GL_SPECULAR, lightSpecular);
++
(4)设置光源的位置和方向
-- 平行光 -- 没有位置只有方向
|
1
2
|
GLfloat lightPosition[] = {8.5, 5.0, -2.0, 0.0}; // w=0.0glLightfv(GL_LIGHT0, GL_POSITION, lightPosition); |
-- 点光源 -- 有位置没有方向
|
1
2
|
GLfloat lightPosition[] = {8.5, 5.0, -2.0, 1.0}; // w不为0glLightfv(GL_LIGHT0, GL_POSITION, lightPosition); |
-- 聚光灯 -- 有位置有方向

|
1
2
3
4
5
|
GLfloat lightPosition[] = {-6.0, 1.0, 3.0, 1.0}; // w不为0glLightfv(GL_LIGHT0, GL_POSITION, lightPosition);GLfloat lightDirection[] = {1.0, 1.0, 0.0};glLightfv(GL_LIGHT0, GL_SPOT_DIRECTION, lightDirection); // 聚光灯主轴方向 spot directionglLightf(GL_LIGHT0, GL_SPOT_CUTOFF, 45.0); // cutoff角度 spot cutoff |
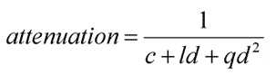
** 平行光不会随着距离d增加而衰减,但点光源和聚光灯会发生衰减。
attenuation为衰变系数,系数值越大,衰变越快。
默认情况下,c=1.0, l=0.0, q=0.0

|
1
2
3
|
glLightf(GL_LIGHT0, GL_CONSTANT_ATTENUATION, 2.0); // c 系数glLightf(GL_LIGHT0, GL_LINEAR_ATTENUATION, 1.0); // l 系数glLightf(GL_LIGHT0, GL_QUADRATIC_ATTENUATION, 0.5); // q 系数 |
++
(5)设置材质属性
环境光、散射光不受视点位置的影响。物体看起来是什么颜色,很大程度上地受到散射光的影响,环境光反射也对物体的颜色有一定的影响。
因为当光直射物体时,散射光最强;非直射时,环境光效果明显。对于真实的世界中的物体,其散射光与环境光通常是同一个颜色。
物体的镜面反射会在物体表面产生一个高亮区。观察者所看到的镜面反射依赖于视点位置 -- 沿着反射光的方向亮度最高。
默认情况下,材质的GL_AMBIENT值为(0.2, 0.2, 0.2, 1.0);GL_DIFFUSE值为(0.8, 0.8, 0.8, 1.0);
GL_SPECULAR值为(0.0, 0.0, 0.0, 1.0);GL_SHININESS值为0.0【取值范围为[0.0, 128.0],数值越大,高亮区越小,亮度越高】;
GL_GL_EMISSION值为(0.0, 0.0, 0.0, 1.0)
|
1
2
3
4
5
6
7
8
9
10
11
12
|
GLfloat matAmbient[] = {0.6, 0.6, 0.6, 1.0};GLfloat matDiffuse[] = {0.35, 0.35, 0.35, 1.0};GLfloat matAmbDif[] = {0.5, 0.5, 0.5, 1.0};GLfloat matSpecular[] = {0.2, 0.2, 0.2, 1.0};GLfloat shine[] = {5.0};GLfloat matEmission[] = {0.3, 0.1, 0.1, 1.0};glMaterialfv(GL_FRONT_AND_BACK, GL_AMBIENT, matAmbient);glMaterialfv(GL_FRONT_AND_BACK, GL_DIFFUSE, matDiffuse);glMaterialfv(GL_FRONT_AND_BACK, GL_AMBIENT_AND_DIFFUSE, matAmbDif); // 将背景颜色和散射颜色设置成同一颜色glMaterialfv(GL_FRONT_AND_BACK, GL_SPECULAR, matSpecular);glMaterialfv(GL_FRONT, GL_SHININESS, shine);glMaterialfv(GL_FRONT, GL_EMISSION, matEmission); // 用来模拟物体发光的效果,但这不是光源 |
++
(6)颜色材质模式
使用颜色材质可以用较小的代价,快速改变场景中模型的颜色。其具体用法如下:
|
1
2
3
4
5
6
7
8
|
glEnable(GL_COLOR_MATERIAL);glColorMaterial(GL_FRONT, GL_DIFFUSE);glColor3f(0.2, 0.5, 0.8);/*** 绘制一些物体 ***/glColorMaterial(GL_FRONT, GL_SPECULAR);glColor3f(0.9, 0.1, 0.3);/*** 绘制另外一些物体 ***/glDisable(GL_COLOR_MATERIAL); |
++
(7)参考
http://fly.cc.fer.hr/~unreal/theredbook/
http://www.john-chapman.net/content.php?id=3
http://www.sjbaker.org/steve/omniv/opengl_lighting.html
http://blog.csdn.net/gamesdev/article/details/9796715
原文:http://www.cnblogs.com/flylong0204/p/4580041.html