维数灾难
给定如下分类问题:

其中x6和x7表示横轴和竖轴(即两个measurements),怎么分?
方法一(simple):
把整个图分成;16个格,当给定一个新的点的时候,就数他所在的格子中,哪种颜色的点最多,最多的点就是最有可能的。
如图:

显然,这种方法是有缺陷的:
例子给出的是2维的,那么3维的话,就是一个立体的空间,如下图所示:


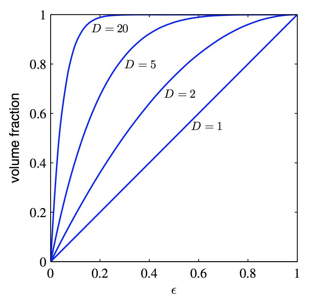
因为我们生活在3维的世界里,所以我们很容易接受3维。比如,我们考虑一个在D维环境下,半径为1和半径为1-
的球体的容积之差:

他们的差即为:
volume fraction=
根据式子我们可以看出,volume fraction越小,即越接近于0,则说明两者相差越小。结果是:

可以发现,维数越大,
一定时,他们的差异也就越大。维数越高,附着在表层的容积也就越大。
尽管维数灾难会给我们带来难度,但是并不影响我们找到解决高维问题的解决方案。原因是:
1.现实生活中的数据大都有部分的重要的变量;
2.现实的数据往往比较平滑,小的改变不会引起巨大的变化。
【PRML读书笔记-Chapter1-Introduction】1.4 The Curse of Dimensionality
原文:http://www.cnblogs.com/XBWer/p/4631102.html